I2Ni1
MatHub2d-709-I2Ni1
| Property |
Value |
| Space group |
(187, 'P-6m2') |
| Crystal system |
hexagonal |
| Magnetic |
Yes |
| Band gap (PBE) (eV) |
0.00 |
| Free energy (eV) |
-6.043 |
| Free energy / atom (eV) |
-2.014 |
Lattice Parameters (basic)
| a, b, c (Å): | 3.851 | 3.851 | 30.000 |
| α, β, γ (°): | 90.000 | 90.000 | 120.000 |
Lattice Parameters (computed)
| a, b, c (Å): | 3.888 | 3.888 | 30.000 |
| α, β, γ (°): | 90.000 | 90.000 | 120.000 |
| Property |
Value |
| Band gap |
0.00 eV |
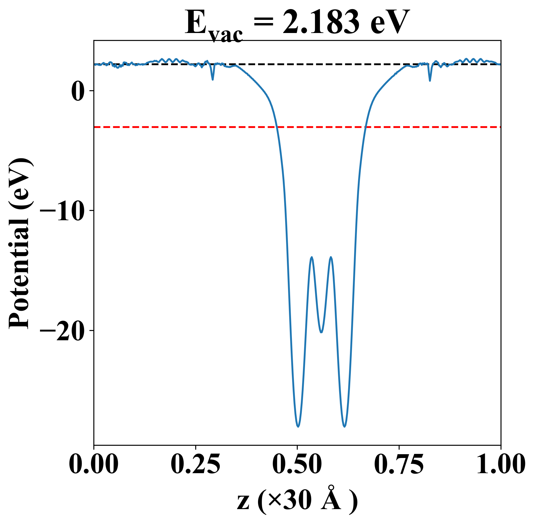
| E-fermi |
-3.047 eV |
| Vacuum level |
2.183 eV |
| VBM |
-3.272 eV |
| CBM |
-2.596 eV |
| Work function |
5.230 eV |
| Direct gap |
No |
| Property |
Value |
| Band gap |
0.49 eV |
| E-fermi |
-2.805 eV |
| VBM |
-3.029 eV |
| CBM |
-2.534 eV |
| Free energy (eV) |
-6.324 |
| Free energy / atom (eV) |
-2.108 |
| Property |
Value |
| Band gap |
0.00 eV |
| E-fermi |
-3.047 eV |
| Vacuum level |
2.183 eV |
| VBM |
-3.272 eV |
| CBM |
-2.596 eV |
| Work function |
5.230 eV |
| Cij (N/m) |
xx |
yy |
xy |
| xx |
27.998 |
16.275 |
0.000 |
| yy |
16.275 |
27.998 |
0.000 |
| xy |
0.000 |
0.000 |
5.862 |
| Phonon mode at Γ point (THz) |
| -2.965 |
| -2.965 |
| -1.188 |
| -1.188 |
| -0.042 |
| 0.021 |
| 0.021 |
| 2.404 |
| 3.268 |
| Property |
Value |
| from where |
c2db-1031 |