I2Ni1
MatHub2d-708-I2Ni1
| Property |
Value |
| Space group |
(164, 'P-3m1') |
| Crystal system |
hexagonal |
| Magnetic |
Yes |
| Band gap (PBE) (eV) |
0.00 |
| Free energy (eV) |
-6.886 |
| Free energy / atom (eV) |
-2.295 |
Lattice Parameters (basic)
| a, b, c (Å): | 3.970 | 3.970 | 30.000 |
| α, β, γ (°): | 90.000 | 90.000 | 120.000 |
Lattice Parameters (computed)
| a, b, c (Å): | 3.989 | 3.989 | 30.000 |
| α, β, γ (°): | 90.000 | 90.000 | 120.000 |
| Property |
Value |
| Band gap |
0.00 eV |
| E-fermi |
-3.515 eV |
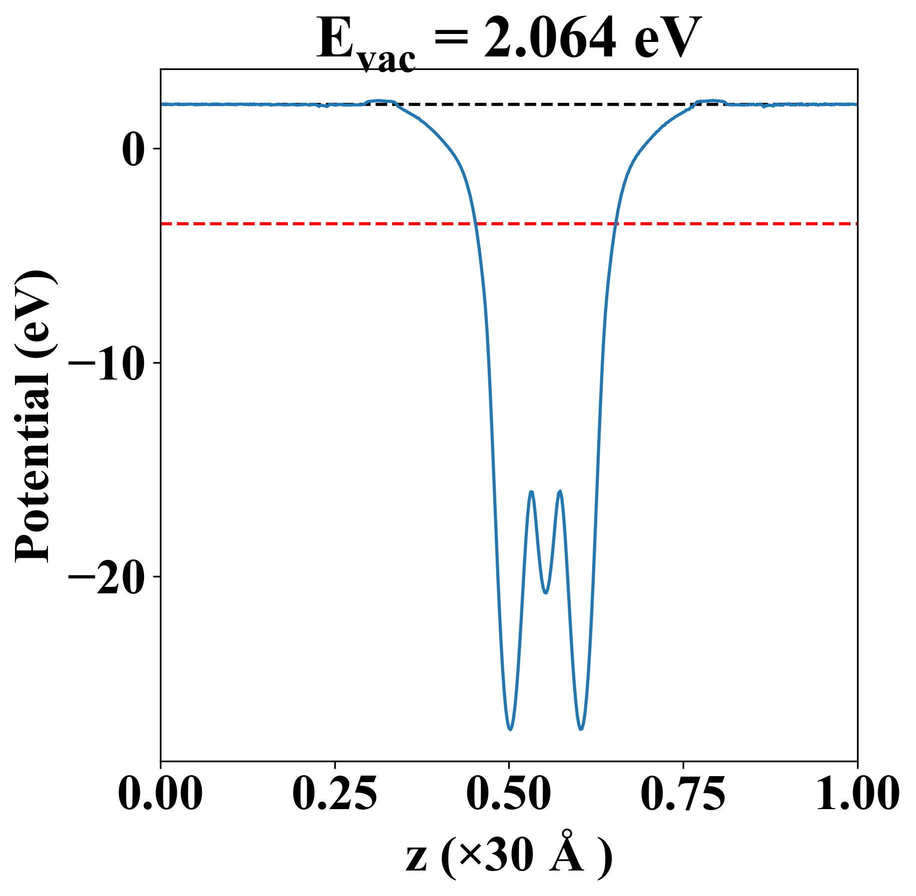
| Vacuum level |
2.064 eV |
| VBM |
-3.732 eV |
| CBM |
-2.352 eV |
| Work function |
5.579 eV |
| Direct gap |
No |
| Property |
Value |
| Band gap |
1.15 eV |
| E-fermi |
-3.204 eV |
| VBM |
-3.486 eV |
| CBM |
-2.335 eV |
| Free energy (eV) |
-7.161 |
| Free energy / atom (eV) |
-2.387 |
| Property |
Value |
| Band gap |
0.00 eV |
| E-fermi |
-3.515 eV |
| Vacuum level |
2.064 eV |
| VBM |
-3.732 eV |
| CBM |
-2.352 eV |
| Work function |
5.579 eV |
| Cij (N/m) |
xx |
yy |
xy |
| xx |
11.349 |
30.902 |
-0.000 |
| yy |
30.902 |
11.349 |
0.000 |
| xy |
-0.000 |
0.000 |
-9.777 |
| Phonon mode at Γ point (THz) |
| -0.009 |
| 0.001 |
| 0.001 |
| 0.883 |
| 0.883 |
| 3.108 |
| 3.768 |
| 3.768 |
| 3.785 |
| Property |
Value |
| from where |
c2db-908 |