I2Nb1
MatHub2d-707-I2Nb1
| Property |
Value |
| Space group |
(187, 'P-6m2') |
| Crystal system |
hexagonal |
| Magnetic |
Yes |
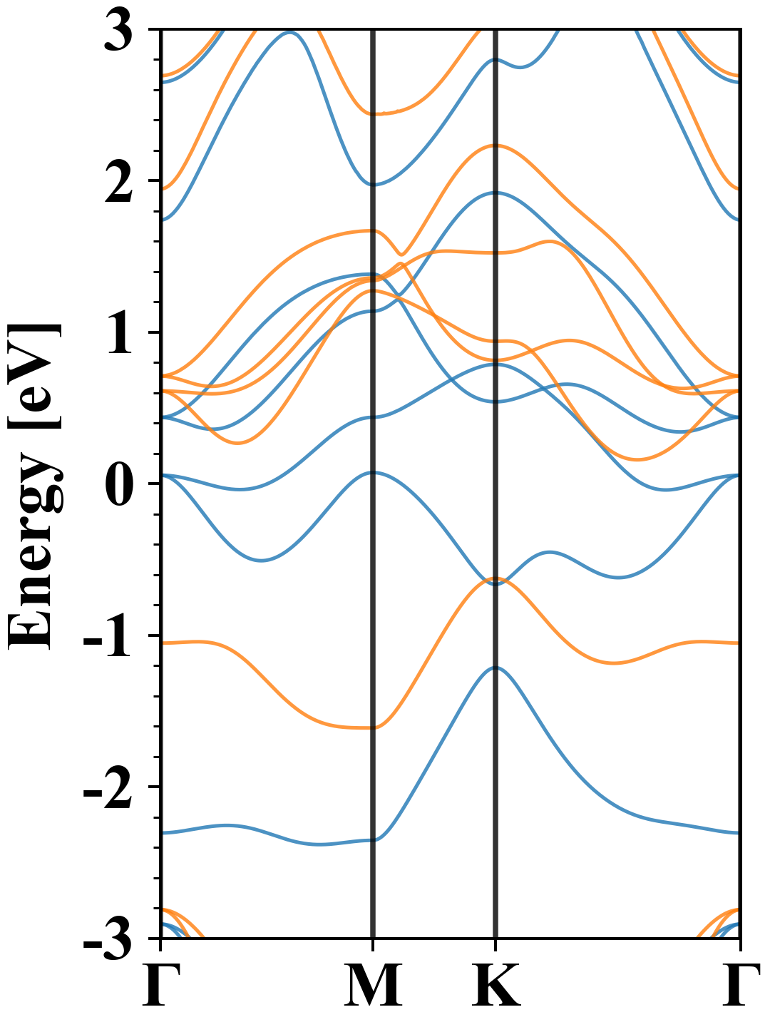
| Band gap (PBE) (eV) |
0.00 |
| Free energy (eV) |
-11.772 |
| Free energy / atom (eV) |
-3.924 |
Lattice Parameters (basic)
| a, b, c (Å): | 3.631 | 3.631 | 30.000 |
| α, β, γ (°): | 90.000 | 90.000 | 120.000 |
Lattice Parameters (computed)
| a, b, c (Å): | 3.725 | 3.725 | 30.000 |
| α, β, γ (°): | 90.000 | 90.000 | 120.000 |
| Property |
Value |
| Band gap |
0.00 eV |
| E-fermi |
-0.401 eV |
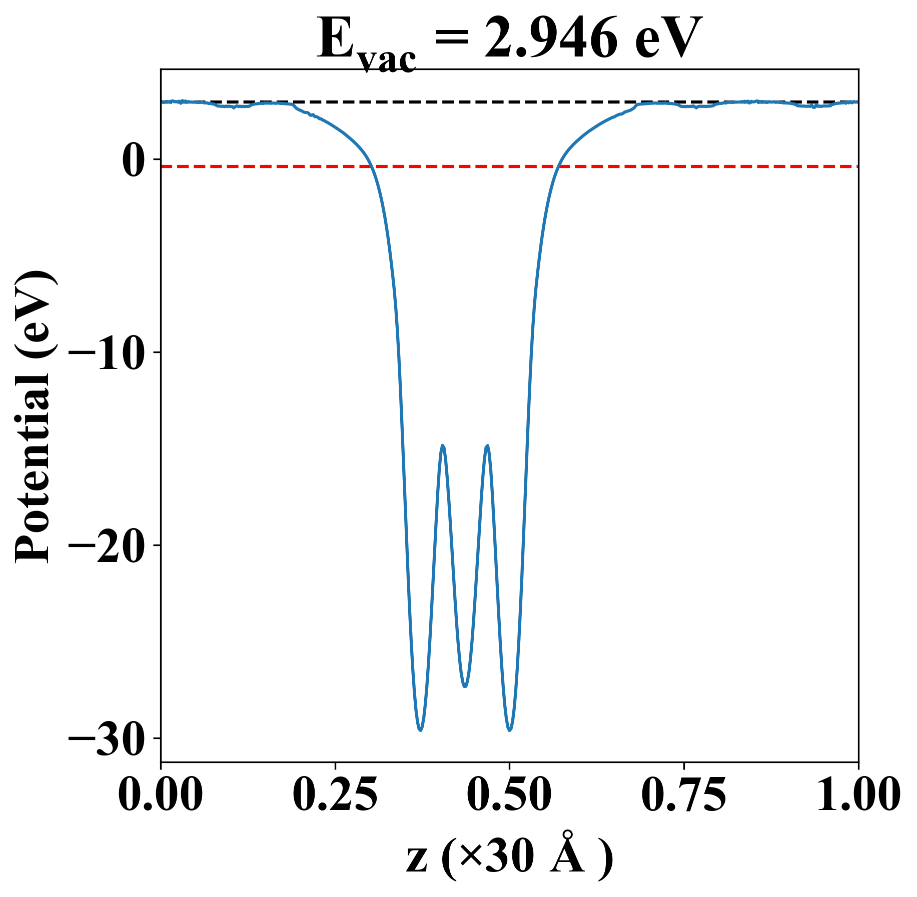
| Vacuum level |
2.946 eV |
| VBM |
-0.401 eV |
| CBM |
-0.400 eV |
| Work function |
3.346 eV |
| Direct gap |
No |
| Property |
Value |
| Band gap |
0.00 eV |
| E-fermi |
-0.401 eV |
| Vacuum level |
2.946 eV |
| VBM |
-0.401 eV |
| CBM |
-0.400 eV |
| Work function |
3.346 eV |
| Cij (N/m) |
xx |
yy |
xy |
| xx |
37.004 |
13.409 |
0.000 |
| yy |
13.409 |
37.004 |
0.000 |
| xy |
0.000 |
0.000 |
11.797 |
| Phonon mode at Γ point (THz) |
| -0.023 |
| -0.002 |
| -0.002 |
| 1.375 |
| 2.142 |
| 2.142 |
| 3.731 |
| 4.520 |
| 4.520 |
| Property |
Value |
| from where |
c2db-1028 |