I2Nb1
MatHub2d-706-I2Nb1
| Property |
Value |
| Space group |
(164, 'P-3m1') |
| Crystal system |
hexagonal |
| Magnetic |
Yes |
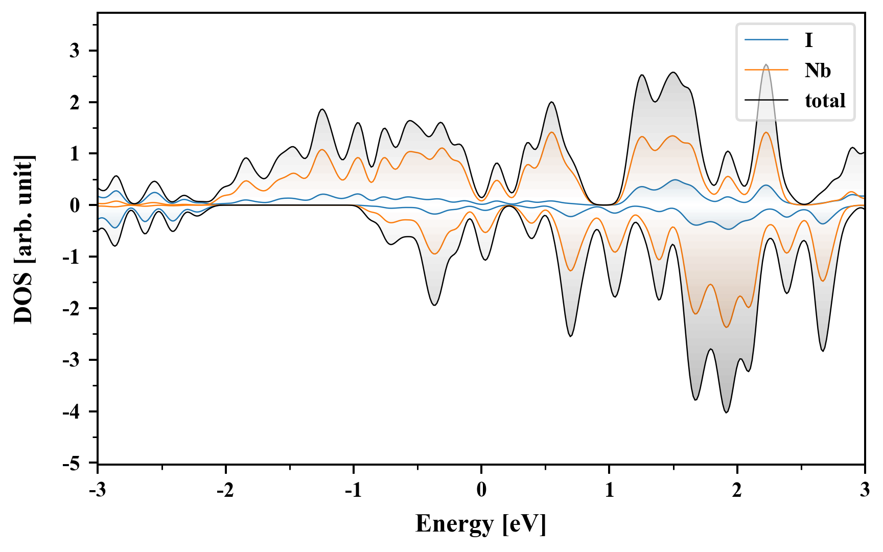
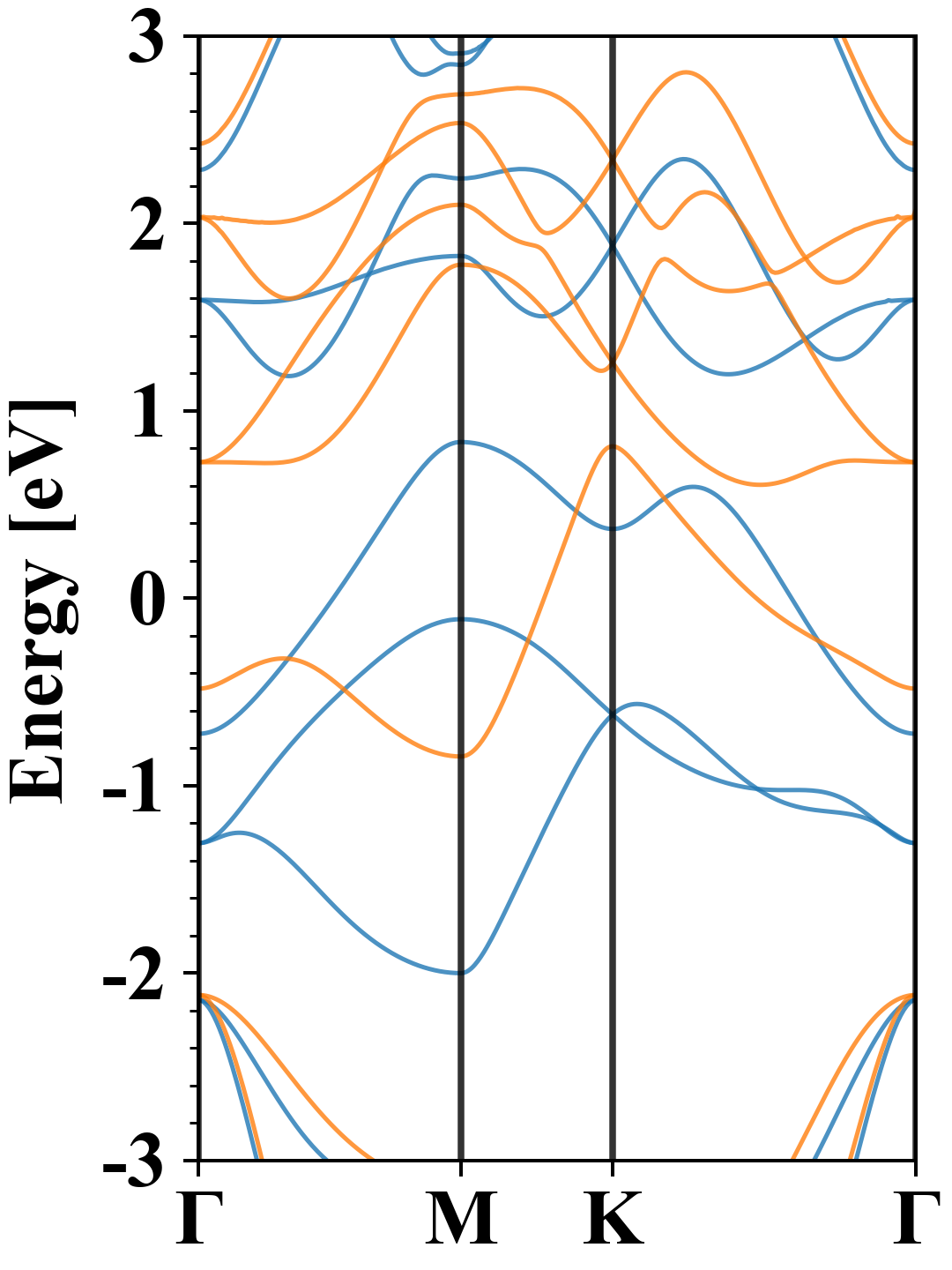
| Band gap (PBE) (eV) |
0.00 |
| Free energy (eV) |
-11.941 |
| Free energy / atom (eV) |
-3.980 |
Lattice Parameters (basic)
| a, b, c (Å): | 3.708 | 3.708 | 30.000 |
| α, β, γ (°): | 90.000 | 90.000 | 120.000 |
Lattice Parameters (computed)
| a, b, c (Å): | 3.875 | 3.875 | 30.000 |
| α, β, γ (°): | 90.000 | 90.000 | 120.000 |
| Property |
Value |
| Band gap |
0.00 eV |
| E-fermi |
-1.075 eV |
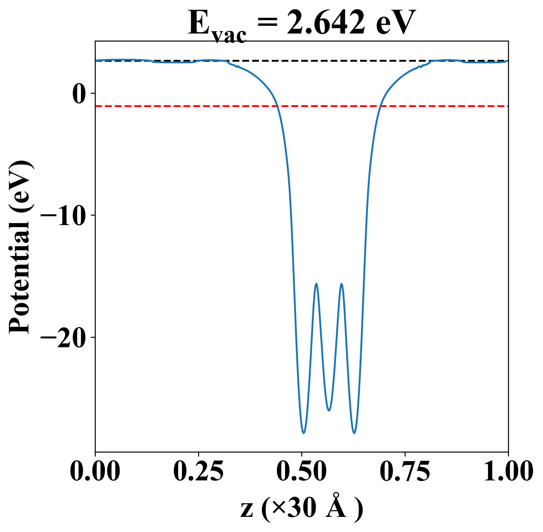
| Vacuum level |
2.642 eV |
| VBM |
-1.078 eV |
| CBM |
-1.074 eV |
| Work function |
3.718 eV |
| Direct gap |
No |
| Property |
Value |
| Band gap |
0.00 eV |
| E-fermi |
-1.075 eV |
| Vacuum level |
2.642 eV |
| VBM |
-1.078 eV |
| CBM |
-1.074 eV |
| Work function |
3.718 eV |
| Cij (N/m) |
xx |
yy |
xy |
| xx |
34.054 |
3.596 |
0.000 |
| yy |
3.596 |
34.054 |
0.000 |
| xy |
0.000 |
0.000 |
15.229 |
| Phonon mode at Γ point (THz) |
| -0.003 |
| -0.003 |
| -0.002 |
| 2.760 |
| 2.760 |
| 3.523 |
| 5.127 |
| 5.127 |
| 5.245 |
| Property |
Value |
| from where |
c2db-905 |