I2Mo1
MatHub2d-705-I2Mo1
| Property |
Value |
| Space group |
(187, 'P-6m2') |
| Crystal system |
hexagonal |
| Magnetic |
Yes |
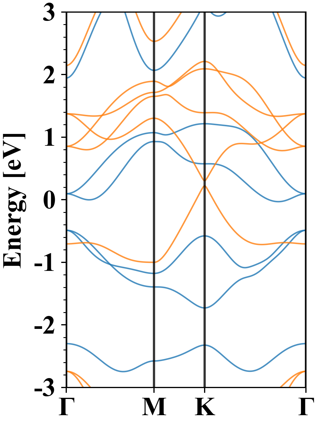
| Band gap (PBE) (eV) |
0.00 |
| Free energy (eV) |
-10.744 |
| Free energy / atom (eV) |
-3.581 |
Lattice Parameters (basic)
| a, b, c (Å): | 3.825 | 3.825 | 30.000 |
| α, β, γ (°): | 90.000 | 90.000 | 120.000 |
Lattice Parameters (computed)
| a, b, c (Å): | 3.879 | 3.879 | 30.000 |
| α, β, γ (°): | 90.000 | 90.000 | 120.000 |
| Property |
Value |
| Band gap |
0.00 eV |
| E-fermi |
-1.124 eV |
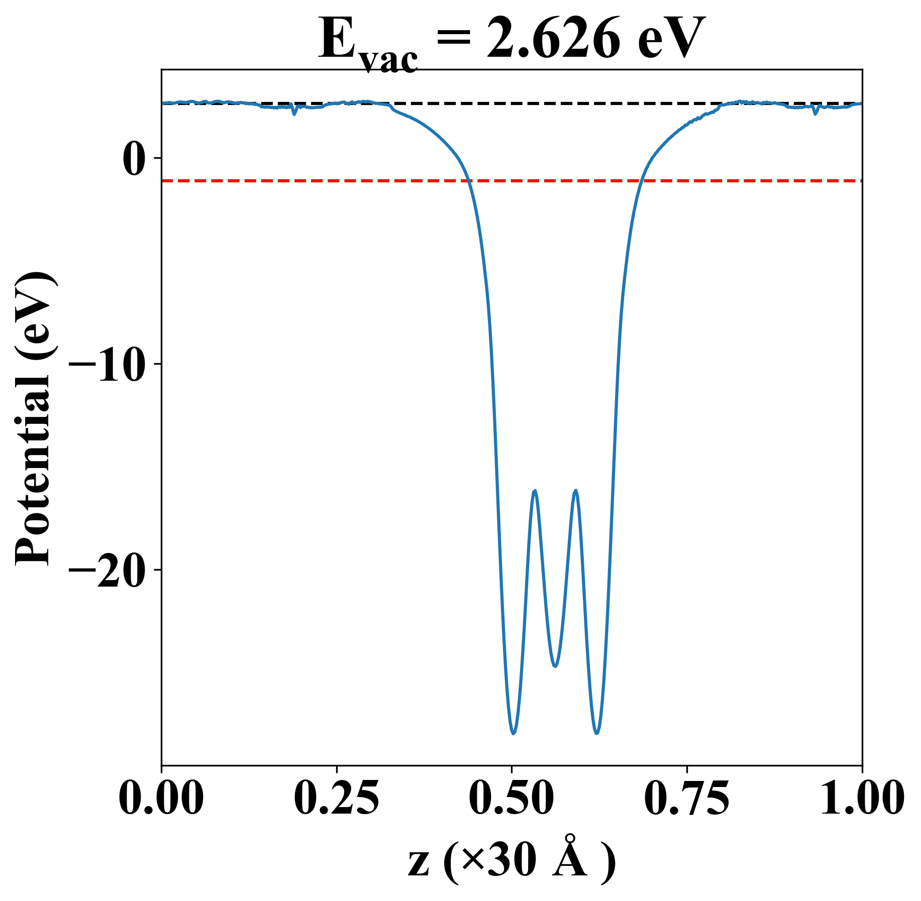
| Vacuum level |
2.626 eV |
| VBM |
-1.124 eV |
| CBM |
-1.123 eV |
| Work function |
3.750 eV |
| Direct gap |
No |
| Property |
Value |
| Band gap |
0.00 eV |
| E-fermi |
-1.124 eV |
| Vacuum level |
2.626 eV |
| VBM |
-1.124 eV |
| CBM |
-1.123 eV |
| Work function |
3.750 eV |
| Cij (N/m) |
xx |
yy |
xy |
| xx |
2.395 |
3.317 |
0.000 |
| yy |
3.317 |
2.395 |
0.000 |
| xy |
0.000 |
0.000 |
-0.461 |
| Phonon mode at Γ point (THz) |
| -5.456 |
| -1.682 |
| -1.682 |
| 0.005 |
| 0.022 |
| 0.022 |
| 0.833 |
| 0.833 |
| 2.973 |
| Property |
Value |
| from where |
c2db-1025 |