I2Mo1
MatHub2d-704-I2Mo1
| Property |
Value |
| Space group |
(164, 'P-3m1') |
| Crystal system |
hexagonal |
| Magnetic |
Yes |
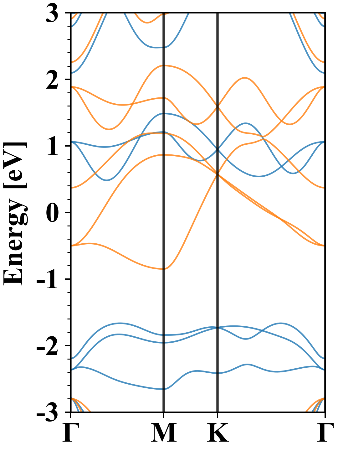
| Band gap (PBE) (eV) |
0.01 |
| Free energy (eV) |
-11.288 |
| Free energy / atom (eV) |
-3.763 |
Lattice Parameters (basic)
| a, b, c (Å): | 4.020 | 4.020 | 30.000 |
| α, β, γ (°): | 90.000 | 90.000 | 120.000 |
Lattice Parameters (computed)
| a, b, c (Å): | 4.066 | 4.066 | 30.000 |
| α, β, γ (°): | 90.000 | 90.000 | 120.000 |
| Property |
Value |
| Band gap |
0.01 eV |
| E-fermi |
-1.143 eV |
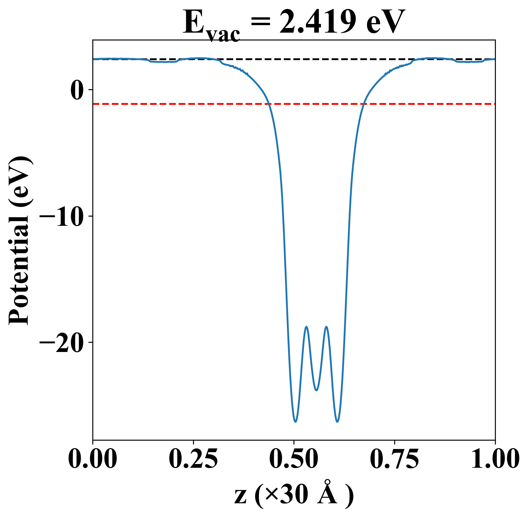
| Vacuum level |
2.419 eV |
| VBM |
-1.144 eV |
| CBM |
-1.139 eV |
| Work function |
3.561 eV |
| Direct gap |
No |
| Property |
Value |
| Band gap |
0.01 eV |
| E-fermi |
-1.143 eV |
| Vacuum level |
2.419 eV |
| VBM |
-1.144 eV |
| CBM |
-1.139 eV |
| Work function |
3.561 eV |
| Cij (N/m) |
xx |
yy |
xy |
| xx |
-1.782 |
15.173 |
-0.000 |
| yy |
15.173 |
-1.782 |
0.000 |
| xy |
-0.000 |
0.000 |
-8.478 |
| Phonon mode at Γ point (THz) |
| -0.003 |
| -0.003 |
| -0.002 |
| 2.711 |
| 2.711 |
| 3.216 |
| 4.200 |
| 5.121 |
| 5.121 |
| Property |
Value |
| from where |
c2db-902 |