I2Mn1
MatHub2d-703-I2Mn1
| Property |
Value |
| Space group |
(164, 'P-3m1') |
| Crystal system |
hexagonal |
| Magnetic |
Yes |
| Band gap (PBE) (eV) |
1.86 |
| Free energy (eV) |
-9.566 |
| Free energy / atom (eV) |
-3.189 |
Lattice Parameters (basic)
| a, b, c (Å): | 3.929 | 3.929 | 30.000 |
| α, β, γ (°): | 90.000 | 90.000 | 120.000 |
Lattice Parameters (computed)
| a, b, c (Å): | 4.095 | 4.095 | 30.000 |
| α, β, γ (°): | 90.000 | 90.000 | 120.000 |
| Property |
Value |
| Band gap |
1.86 eV |
| E-fermi |
-3.173 eV |
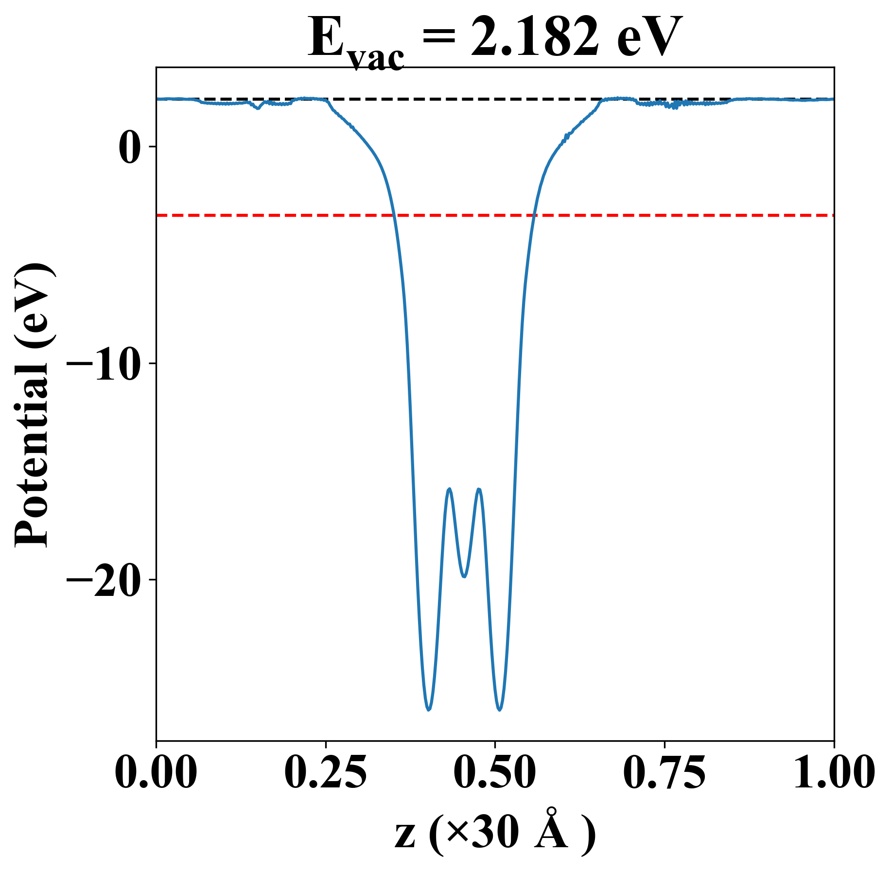
| Vacuum level |
2.182 eV |
| VBM |
-3.554 eV |
| CBM |
-1.691 eV |
| Work function |
5.355 eV |
| Direct gap |
No |
| Property |
Value |
| Band gap |
2.28 eV |
| E-fermi |
-3.222 eV |
| VBM |
-3.460 eV |
| CBM |
-1.178 eV |
| Free energy (eV) |
-12.494 |
| Free energy / atom (eV) |
-4.165 |
| Property |
Value |
| Band gap |
1.86 eV |
| E-fermi |
-3.173 eV |
| Vacuum level |
2.182 eV |
| VBM |
-3.554 eV |
| CBM |
-1.691 eV |
| Work function |
5.355 eV |
| Cij (N/m) |
xx |
yy |
xy |
| xx |
32.505 |
9.642 |
-0.000 |
| yy |
9.642 |
32.505 |
0.000 |
| xy |
-0.000 |
0.000 |
11.431 |
| Phonon mode at Γ point (THz) |
| -0.036 |
| -0.036 |
| -0.020 |
| 1.653 |
| 1.653 |
| 2.643 |
| 3.122 |
| 3.838 |
| 3.838 |
| Property |
Value |
| from where |
sz.tsinghua-55 |