I2Mn1
MatHub2d-702-I2Mn1
| Property |
Value |
| Space group |
(164, 'P-3m1') |
| Crystal system |
hexagonal |
| Magnetic |
Yes |
| Band gap (PBE) (eV) |
0.00 |
| Free energy (eV) |
-12.342 |
| Free energy / atom (eV) |
-4.114 |
Lattice Parameters (basic)
| a, b, c (Å): | 4.166 | 4.166 | 30.000 |
| α, β, γ (°): | 90.000 | 90.000 | 120.000 |
Lattice Parameters (computed)
| a, b, c (Å): | 4.220 | 4.220 | 30.000 |
| α, β, γ (°): | 90.000 | 90.000 | 120.000 |
| Property |
Value |
| Band gap |
0.00 eV |
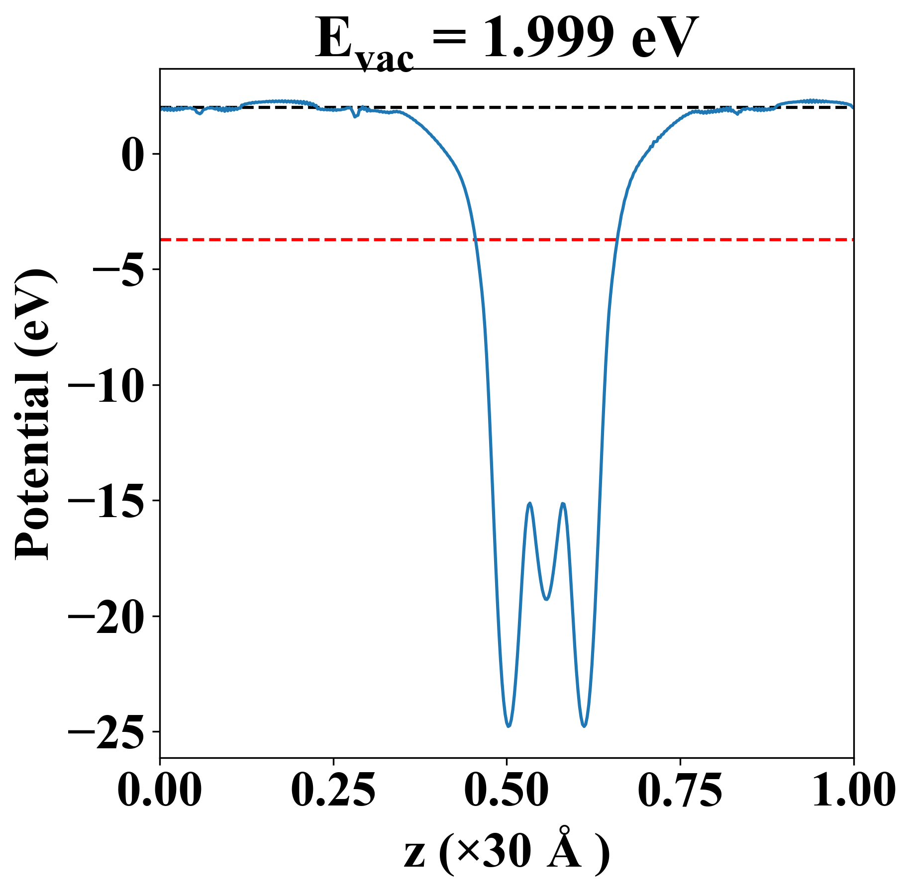
| E-fermi |
-3.733 eV |
| Vacuum level |
1.999 eV |
| VBM |
-4.072 eV |
| CBM |
-1.298 eV |
| Work function |
5.732 eV |
| Direct gap |
No |
| Property |
Value |
| Band gap |
2.55 eV |
| E-fermi |
-3.521 eV |
| VBM |
-3.842 eV |
| CBM |
-1.291 eV |
| Free energy (eV) |
-12.612 |
| Free energy / atom (eV) |
-4.204 |
| Property |
Value |
| Band gap |
0.00 eV |
| E-fermi |
-3.733 eV |
| Vacuum level |
1.999 eV |
| VBM |
-4.072 eV |
| CBM |
-1.298 eV |
| Work function |
5.732 eV |
| Cij (N/m) |
xx |
yy |
xy |
| xx |
19.868 |
11.002 |
0.000 |
| yy |
11.002 |
19.868 |
-0.000 |
| xy |
0.000 |
-0.000 |
4.433 |
| Phonon mode at Γ point (THz) |
| -0.045 |
| -0.045 |
| -0.032 |
| 1.147 |
| 1.147 |
| 2.259 |
| 2.429 |
| 2.429 |
| 2.514 |
| Property |
Value |
| from where |
c2db-899 |