I2Mg1
MatHub2d-701-I2Mg1
| Property |
Value |
| Space group |
(187, 'P-6m2') |
| Crystal system |
hexagonal |
| Magnetic |
No |
| Band gap (PBE) (eV) |
2.96 |
| Free energy (eV) |
-7.255 |
| Free energy / atom (eV) |
-2.418 |
Lattice Parameters (basic)
| a, b, c (Å): | 4.103 | 4.103 | 30.000 |
| α, β, γ (°): | 90.000 | 90.000 | 120.000 |
Lattice Parameters (computed)
| a, b, c (Å): | 4.100 | 4.100 | 30.000 |
| α, β, γ (°): | 90.000 | 90.000 | 120.000 |
| Property |
Value |
| Band gap |
2.96 eV |
| E-fermi |
-3.877 eV |
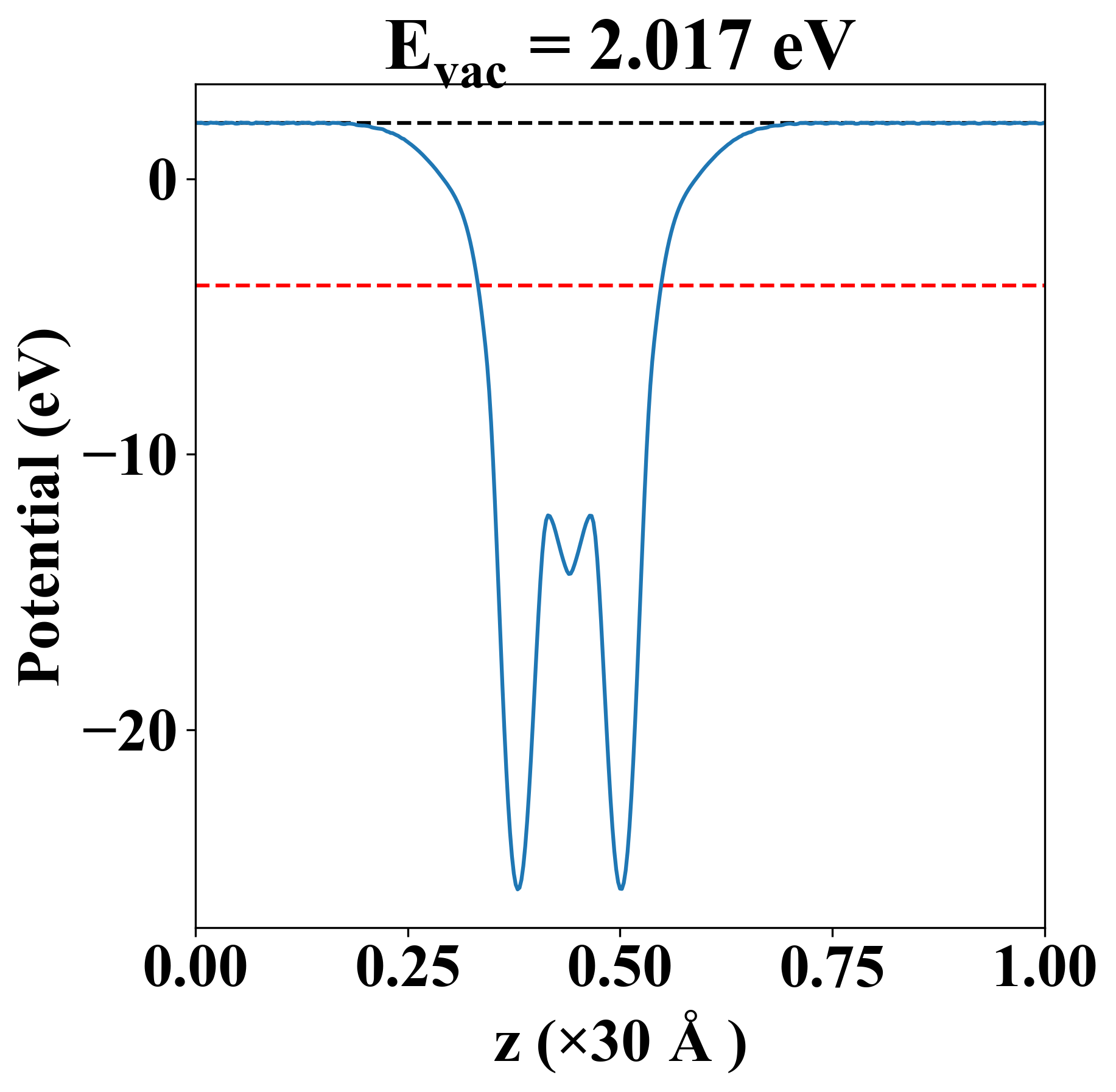
| Vacuum level |
2.017 eV |
| VBM |
-4.096 eV |
| CBM |
-1.139 eV |
| Work function |
5.894 eV |
| Direct gap |
No |
| Property |
Value |
| Band gap |
2.59 eV |
| E-fermi |
-3.500 eV |
| VBM |
-3.717 eV |
| CBM |
-1.127 eV |
| Free energy (eV) |
-7.517 |
| Free energy / atom (eV) |
-2.506 |
| Property |
Value |
| Band gap |
2.96 eV |
| E-fermi |
-3.877 eV |
| Vacuum level |
2.017 eV |
| VBM |
-4.096 eV |
| CBM |
-1.139 eV |
| Work function |
5.894 eV |
| Cij (N/m) |
xx |
yy |
xy |
| xx |
38.261 |
11.137 |
-0.000 |
| yy |
11.137 |
38.261 |
-0.000 |
| xy |
-0.000 |
-0.000 |
13.562 |
| Phonon mode at Γ point (THz) |
| -0.868 |
| -0.868 |
| -0.002 |
| -0.000 |
| -0.000 |
| 3.601 |
| 3.988 |
| 3.988 |
| 8.341 |
| Property |
Value |
| from where |
c2db-1017 |