I2Mg1
MatHub2d-700-I2Mg1
| Property |
Value |
| Space group |
(164, 'P-3m1') |
| Crystal system |
hexagonal |
| Magnetic |
No |
| Band gap (PBE) (eV) |
3.64 |
| Free energy (eV) |
-7.732 |
| Free energy / atom (eV) |
-2.577 |
Lattice Parameters (basic)
| a, b, c (Å): | 4.161 | 4.161 | 30.000 |
| α, β, γ (°): | 90.000 | 90.000 | 120.000 |
Lattice Parameters (computed)
| a, b, c (Å): | 4.200 | 4.200 | 30.000 |
| α, β, γ (°): | 90.000 | 90.000 | 120.000 |
| Property |
Value |
| Band gap |
3.64 eV |
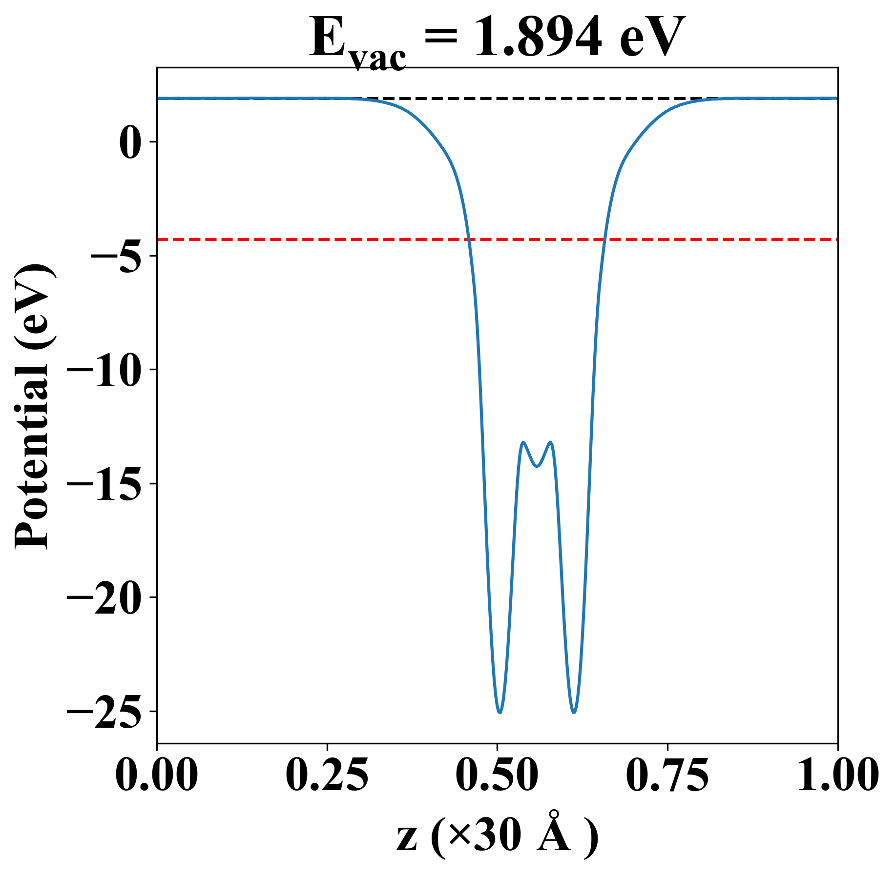
| E-fermi |
-4.292 eV |
| Vacuum level |
1.894 eV |
| VBM |
-4.530 eV |
| CBM |
-0.890 eV |
| Work function |
6.185 eV |
| Direct gap |
No |
| Property |
Value |
| Band gap |
3.30 eV |
| E-fermi |
-3.977 eV |
| VBM |
-4.195 eV |
| CBM |
-0.898 eV |
| Free energy (eV) |
-7.984 |
| Free energy / atom (eV) |
-2.661 |
| Property |
Value |
| Band gap |
3.64 eV |
| E-fermi |
-4.292 eV |
| Vacuum level |
1.894 eV |
| VBM |
-4.530 eV |
| CBM |
-0.890 eV |
| Work function |
6.185 eV |
| Cij (N/m) |
xx |
yy |
xy |
| xx |
29.354 |
8.355 |
-0.000 |
| yy |
8.355 |
29.354 |
-0.000 |
| xy |
-0.000 |
-0.000 |
10.499 |
| Phonon mode at Γ point (THz) |
| -0.006 |
| 0.001 |
| 0.001 |
| 1.764 |
| 1.764 |
| 3.035 |
| 4.866 |
| 4.866 |
| 8.301 |
| Property |
Value |
| from where |
JVASP-5965 |