I2Ir1
MatHub2d-699-I2Ir1
| Property |
Value |
| Space group |
(187, 'P-6m2') |
| Crystal system |
hexagonal |
| Magnetic |
Yes |
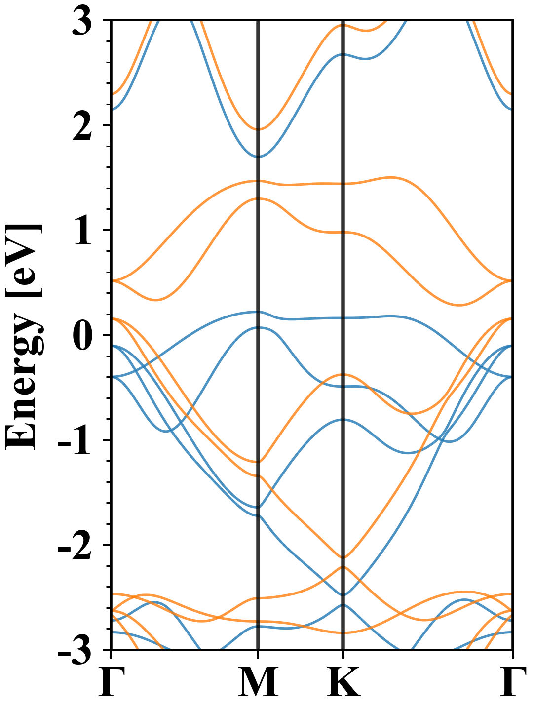
| Band gap (PBE) (eV) |
0.00 |
| Free energy (eV) |
-7.570 |
| Free energy / atom (eV) |
-2.523 |
Lattice Parameters (basic)
| a, b, c (Å): | 3.878 | 3.878 | 30.000 |
| α, β, γ (°): | 90.000 | 90.000 | 120.000 |
Lattice Parameters (computed)
| a, b, c (Å): | 3.880 | 3.880 | 30.000 |
| α, β, γ (°): | 90.000 | 90.000 | 120.000 |
| Property |
Value |
| Band gap |
0.00 eV |
| E-fermi |
-2.005 eV |
| Vacuum level |
2.284 eV |
| VBM |
-2.006 eV |
| CBM |
-2.001 eV |
| Work function |
4.289 eV |
| Direct gap |
No |
| Property |
Value |
| Band gap |
0.00 eV |
| E-fermi |
-2.005 eV |
| Vacuum level |
2.284 eV |
| VBM |
-2.006 eV |
| CBM |
-2.001 eV |
| Work function |
4.289 eV |
| Cij (N/m) |
xx |
yy |
xy |
| xx |
45.777 |
21.827 |
-0.000 |
| yy |
21.827 |
45.777 |
-0.000 |
| xy |
-0.000 |
-0.000 |
11.975 |
| Phonon mode at Γ point (THz) |
| -3.162 |
| -3.162 |
| -2.829 |
| -0.905 |
| -0.905 |
| 0.002 |
| 0.002 |
| 0.004 |
| 3.988 |
| Property |
Value |
| from where |
c2db-1014 |