I2Ir1
MatHub2d-698-I2Ir1
| Property |
Value |
| Space group |
(164, 'P-3m1') |
| Crystal system |
hexagonal |
| Magnetic |
Yes |
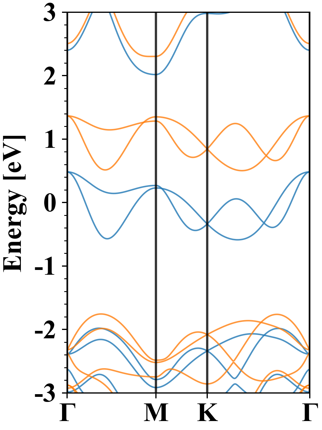
| Band gap (PBE) (eV) |
0.00 |
| Free energy (eV) |
-8.856 |
| Free energy / atom (eV) |
-2.952 |
Lattice Parameters (basic)
| a, b, c (Å): | 4.039 | 4.039 | 30.000 |
| α, β, γ (°): | 90.000 | 90.000 | 120.000 |
Lattice Parameters (computed)
| a, b, c (Å): | 4.015 | 4.015 | 30.000 |
| α, β, γ (°): | 90.000 | 90.000 | 120.000 |
| Property |
Value |
| Band gap |
0.00 eV |
| E-fermi |
-1.770 eV |
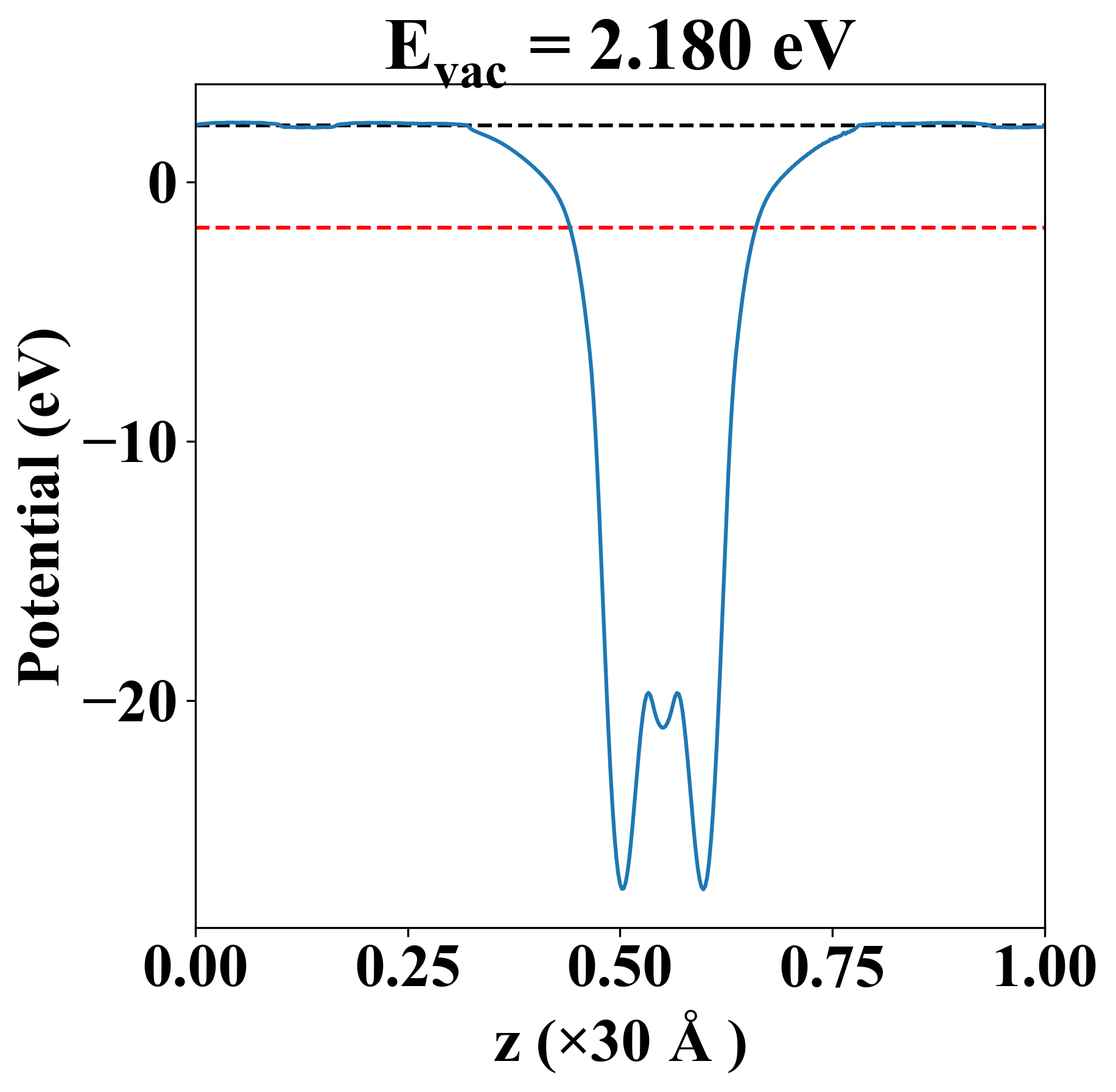
| Vacuum level |
2.180 eV |
| VBM |
-1.772 eV |
| CBM |
-1.769 eV |
| Work function |
3.950 eV |
| Direct gap |
No |
| Property |
Value |
| Band gap |
0.00 eV |
| E-fermi |
-1.770 eV |
| Vacuum level |
2.180 eV |
| VBM |
-1.772 eV |
| CBM |
-1.769 eV |
| Work function |
3.950 eV |
| Cij (N/m) |
xx |
yy |
xy |
| xx |
48.109 |
16.195 |
-0.000 |
| yy |
16.195 |
48.109 |
-0.000 |
| xy |
-0.000 |
-0.000 |
15.957 |
| Phonon mode at Γ point (THz) |
| -0.001 |
| -0.001 |
| -0.001 |
| 2.038 |
| 2.038 |
| 3.730 |
| 4.052 |
| 4.342 |
| 4.342 |
| Property |
Value |
| from where |
c2db-893 |