I2In1
MatHub2d-697-I2In1
| Property |
Value |
| Space group |
(187, 'P-6m2') |
| Crystal system |
hexagonal |
| Magnetic |
No |
| Band gap (PBE) (eV) |
0.00 |
| Free energy (eV) |
-6.486 |
| Free energy / atom (eV) |
-2.162 |
Lattice Parameters (basic)
| a, b, c (Å): | 4.250 | 4.250 | 30.000 |
| α, β, γ (°): | 90.000 | 90.000 | 120.000 |
Lattice Parameters (computed)
| a, b, c (Å): | 4.238 | 4.238 | 30.000 |
| α, β, γ (°): | 90.000 | 90.000 | 120.000 |
| Property |
Value |
| Band gap |
0.00 eV |
| E-fermi |
-3.097 eV |
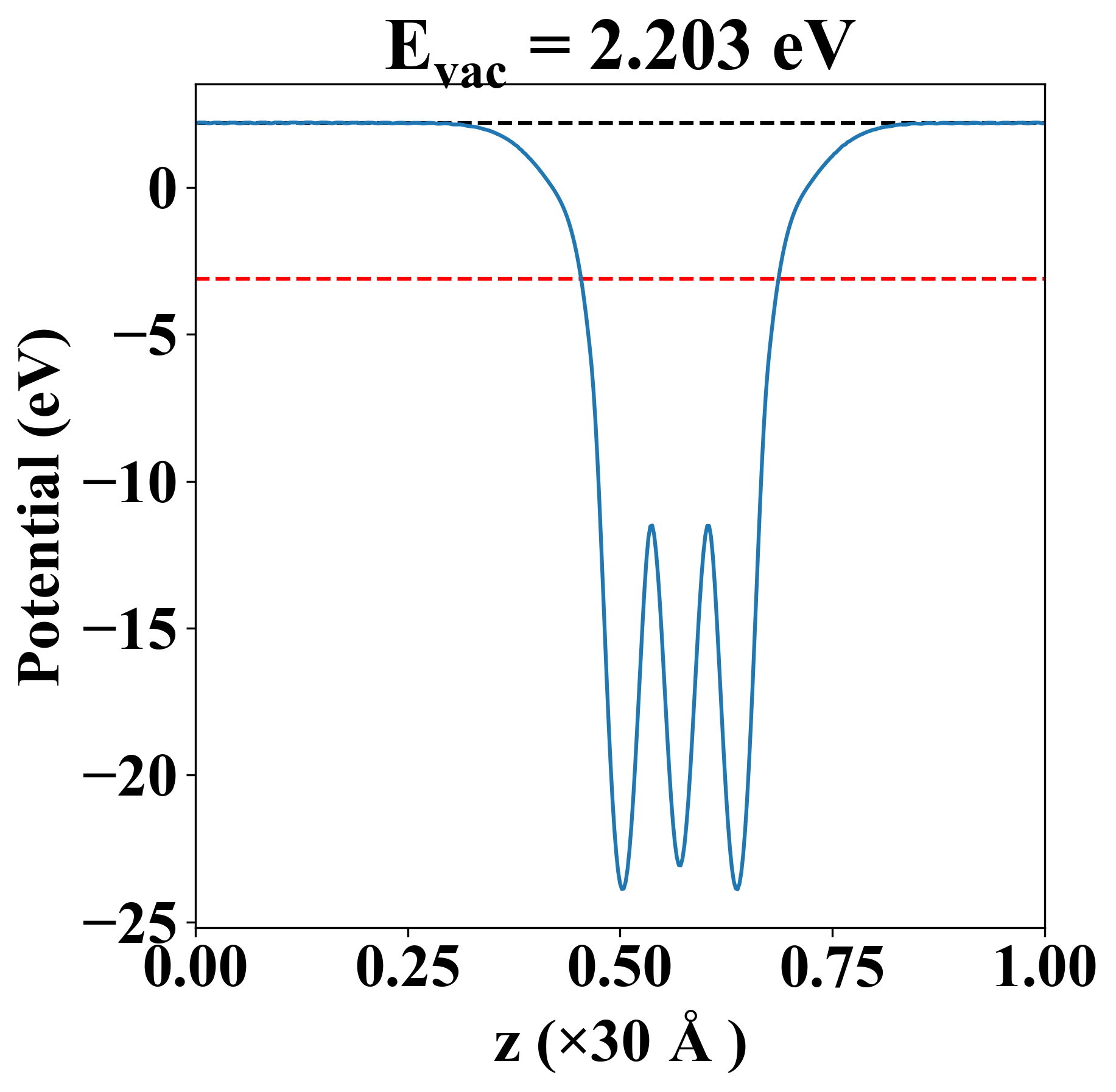
| Vacuum level |
2.203 eV |
| VBM |
-3.099 eV |
| CBM |
-3.092 eV |
| Work function |
5.300 eV |
| Direct gap |
No |
| Property |
Value |
| Band gap |
0.00 eV |
| E-fermi |
-3.097 eV |
| Vacuum level |
2.203 eV |
| VBM |
-3.099 eV |
| CBM |
-3.092 eV |
| Work function |
5.300 eV |
| Cij (N/m) |
xx |
yy |
xy |
| xx |
20.252 |
7.886 |
0.000 |
| yy |
7.886 |
20.252 |
0.000 |
| xy |
0.000 |
0.000 |
6.183 |
| Phonon mode at Γ point (THz) |
| -0.008 |
| -0.008 |
| -0.003 |
| 0.889 |
| 0.889 |
| 2.049 |
| 2.049 |
| 2.940 |
| 4.461 |
| Property |
Value |
| from where |
c2db-1010 |