I2In1
MatHub2d-696-I2In1
| Property |
Value |
| Space group |
(164, 'P-3m1') |
| Crystal system |
hexagonal |
| Magnetic |
|
| Band gap (PBE) (eV) |
0.00 |
| Free energy (eV) |
-6.711 |
| Free energy / atom (eV) |
-2.237 |
Lattice Parameters (basic)
| a, b, c (Å): | 4.387 | 4.387 | 30.000 |
| α, β, γ (°): | 90.000 | 90.000 | 120.000 |
Lattice Parameters (computed)
| a, b, c (Å): | 4.382 | 4.382 | 30.000 |
| α, β, γ (°): | 90.000 | 90.000 | 120.000 |
| Property |
Value |
| Band gap |
0.00 eV |
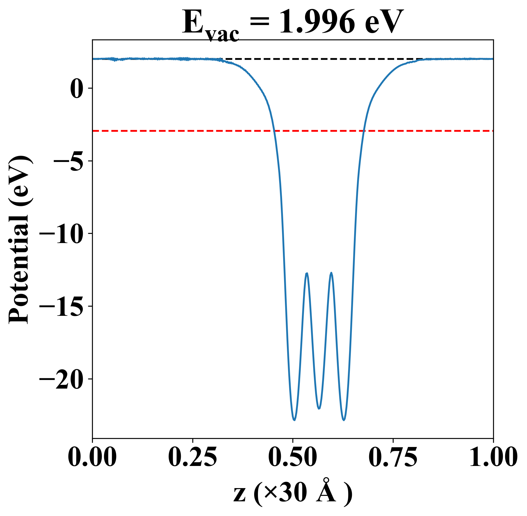
| E-fermi |
-2.947 eV |
| Vacuum level |
1.996 eV |
| VBM |
-2.947 eV |
| CBM |
-2.946 eV |
| Work function |
4.942 eV |
| Direct gap |
No |
| Property |
Value |
| Band gap |
0.00 eV |
| E-fermi |
-2.947 eV |
| Vacuum level |
1.996 eV |
| VBM |
-2.947 eV |
| CBM |
-2.946 eV |
| Work function |
4.942 eV |
| Cij (N/m) |
xx |
yy |
xy |
| xx |
12.568 |
6.129 |
-0.000 |
| yy |
6.129 |
12.568 |
0.000 |
| xy |
-0.000 |
0.000 |
3.219 |
| Phonon mode at Γ point (THz) |
| -0.006 |
| -0.006 |
| -0.002 |
| 1.695 |
| 1.695 |
| 2.101 |
| 2.101 |
| 2.512 |
| 4.392 |
| Property |
Value |
| from where |
c2db-1864 |