Hg1Te2
MatHub2d-695-Hg1Te2
| Property |
Value |
| Space group |
(164, 'P-3m1') |
| Crystal system |
hexagonal |
| Magnetic |
No |
| Band gap (PBE) (eV) |
0.00 |
| Free energy (eV) |
-5.647 |
| Free energy / atom (eV) |
-1.882 |
Lattice Parameters (basic)
| a, b, c (Å): | 3.705 | 3.705 | 30.000 |
| α, β, γ (°): | 90.000 | 90.000 | 120.000 |
Lattice Parameters (computed)
| a, b, c (Å): | 3.663 | 3.663 | 30.000 |
| α, β, γ (°): | 90.000 | 90.000 | 120.000 |
| Property |
Value |
| Band gap |
0.00 eV |
| E-fermi |
-1.837 eV |
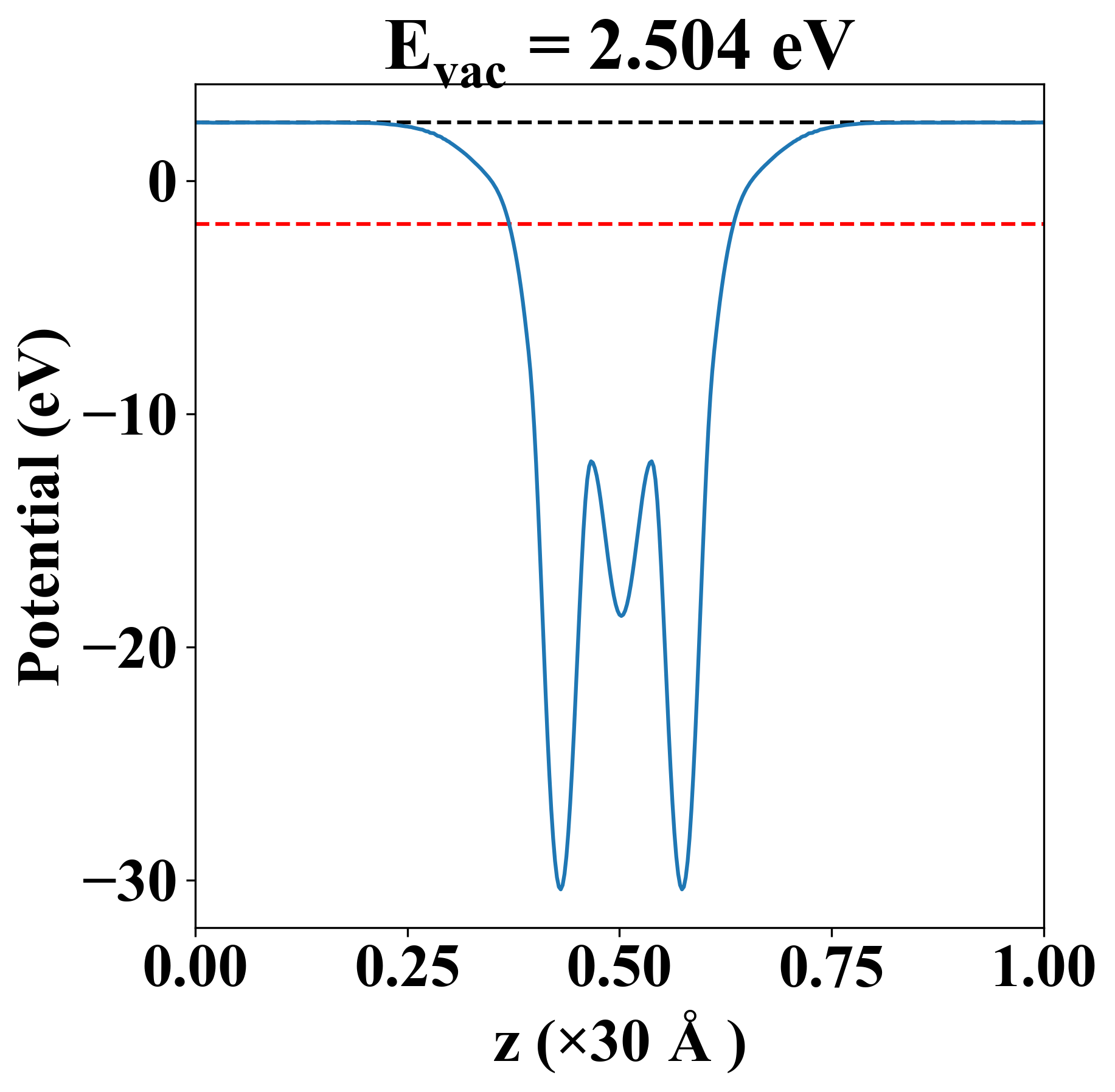
| Vacuum level |
2.504 eV |
| VBM |
-1.839 eV |
| CBM |
-1.835 eV |
| Work function |
4.341 eV |
| Direct gap |
No |
| Property |
Value |
| Band gap |
0.00 eV |
| E-fermi |
-1.837 eV |
| Vacuum level |
2.504 eV |
| VBM |
-1.839 eV |
| CBM |
-1.835 eV |
| Work function |
4.341 eV |
| Cij (N/m) |
xx |
yy |
xy |
| xx |
19.690 |
30.307 |
0.000 |
| yy |
30.307 |
19.690 |
0.000 |
| xy |
0.000 |
0.000 |
-5.309 |
| Phonon mode at Γ point (THz) |
| -0.003 |
| -0.003 |
| -0.002 |
| 1.202 |
| 1.202 |
| 1.686 |
| 1.686 |
| 2.729 |
| 3.395 |
| Property |
Value |
| from where |
c2db-508 |