Hg1Te2
MatHub2d-694-Hg1Te2
| Property |
Value |
| Space group |
(187, 'P-6m2') |
| Crystal system |
hexagonal |
| Magnetic |
No |
| Band gap (PBE) (eV) |
0.00 |
| Free energy (eV) |
-5.313 |
| Free energy / atom (eV) |
-1.771 |
Lattice Parameters (basic)
| a, b, c (Å): | 3.722 | 3.722 | 30.000 |
| α, β, γ (°): | 90.000 | 90.000 | 120.000 |
Lattice Parameters (computed)
| a, b, c (Å): | 3.726 | 3.726 | 30.000 |
| α, β, γ (°): | 90.000 | 90.000 | 120.000 |
| Property |
Value |
| Band gap |
0.00 eV |
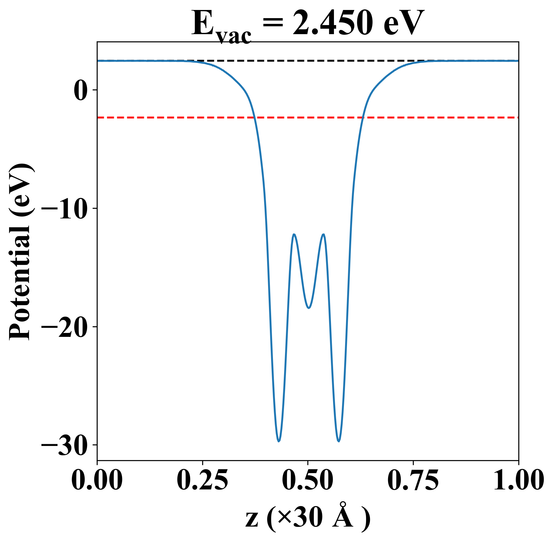
| E-fermi |
-2.339 eV |
| Vacuum level |
2.450 eV |
| VBM |
-2.340 eV |
| CBM |
-2.337 eV |
| Work function |
4.789 eV |
| Direct gap |
No |
| Property |
Value |
| Band gap |
0.00 eV |
| E-fermi |
-2.339 eV |
| Vacuum level |
2.450 eV |
| VBM |
-2.340 eV |
| CBM |
-2.337 eV |
| Work function |
4.789 eV |
| Cij (N/m) |
xx |
yy |
xy |
| xx |
-14.214 |
18.384 |
0.000 |
| yy |
18.384 |
-14.214 |
-0.000 |
| xy |
0.000 |
-0.000 |
-16.299 |
| Phonon mode at Γ point (THz) |
| -2.051 |
| -2.051 |
| 0.000 |
| 0.000 |
| 0.000 |
| 1.304 |
| 1.304 |
| 2.403 |
| 2.968 |
| Property |
Value |
| from where |
c2db-509 |