Hg1Te1
MatHub2d-693-Hg1Te1
| Property |
Value |
| Space group |
(156, 'P3m1') |
| Crystal system |
hexagonal |
| Magnetic |
No |
| Band gap (PBE) (eV) |
0.00 |
| Free energy (eV) |
-3.321 |
| Free energy / atom (eV) |
-1.661 |
Lattice Parameters (basic)
| a, b, c (Å): | 4.732 | 4.732 | 30.000 |
| α, β, γ (°): | 90.000 | 90.000 | 120.000 |
Lattice Parameters (computed)
| a, b, c (Å): | 4.740 | 4.740 | 30.000 |
| α, β, γ (°): | 90.000 | 90.000 | 120.000 |
| Property |
Value |
| Band gap |
0.00 eV |
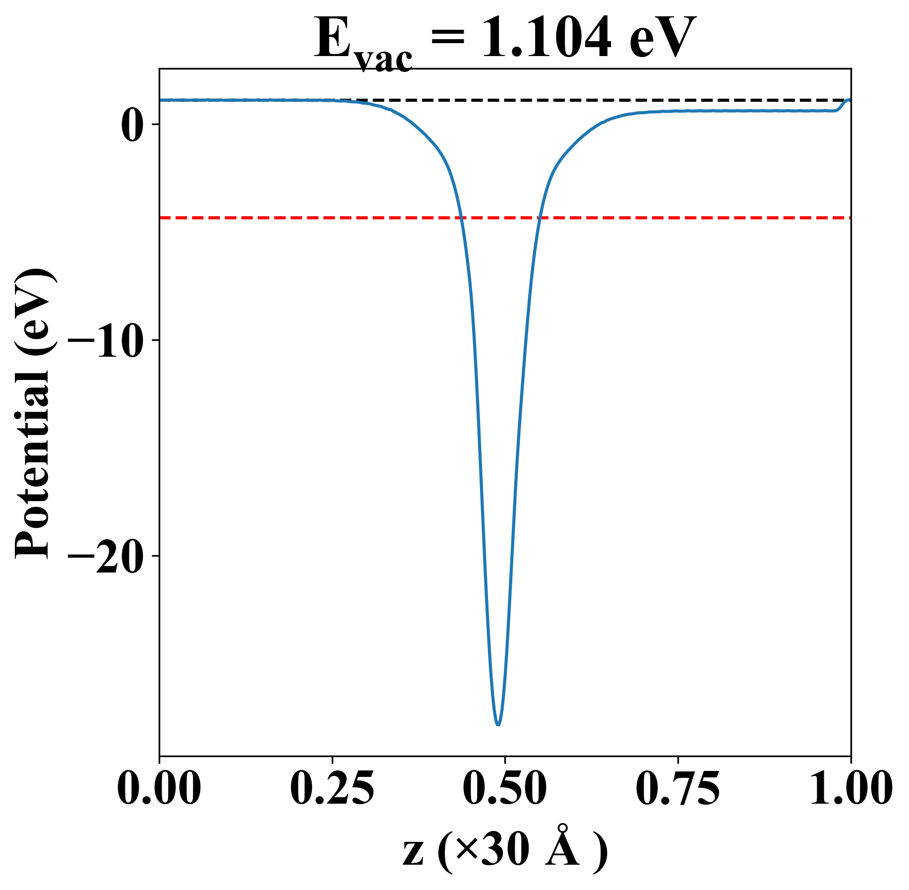
| E-fermi |
-4.338 eV |
| Vacuum level |
1.104 eV |
| VBM |
-4.340 eV |
| CBM |
-4.308 eV |
| Work function |
5.442 eV |
| Direct gap |
No |
| Property |
Value |
| Band gap |
0.00 eV |
| E-fermi |
-4.338 eV |
| Vacuum level |
1.104 eV |
| VBM |
-4.340 eV |
| CBM |
-4.308 eV |
| Work function |
5.442 eV |
| Cij (N/m) |
xx |
yy |
xy |
| xx |
25.646 |
13.633 |
-0.000 |
| yy |
13.633 |
25.646 |
0.000 |
| xy |
-0.000 |
0.000 |
6.006 |
| Phonon mode at Γ point (THz) |
| -0.003 |
| -0.001 |
| -0.001 |
| 1.895 |
| 3.717 |
| 3.717 |
| Property |
Value |
| from where |
c2db-697 |