Hg1Se2
MatHub2d-692-Hg1Se2
| Property |
Value |
| Space group |
(187, 'P-6m2') |
| Crystal system |
hexagonal |
| Magnetic |
|
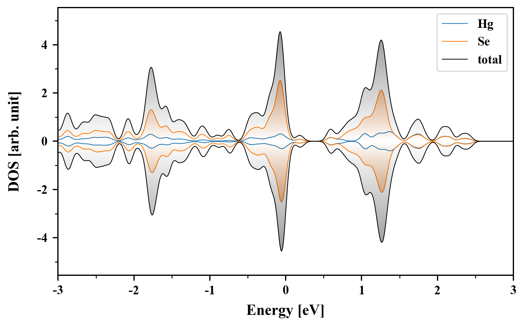
| Band gap (PBE) (eV) |
0.01 |
| Free energy (eV) |
-6.100 |
| Free energy / atom (eV) |
-2.033 |
Lattice Parameters (basic)
| a, b, c (Å): | 4.452 | 4.452 | 30.000 |
| α, β, γ (°): | 90.000 | 90.000 | 120.000 |
Lattice Parameters (computed)
| a, b, c (Å): | 4.414 | 4.414 | 30.000 |
| α, β, γ (°): | 90.000 | 90.000 | 120.000 |
| Property |
Value |
| Band gap |
0.01 eV |
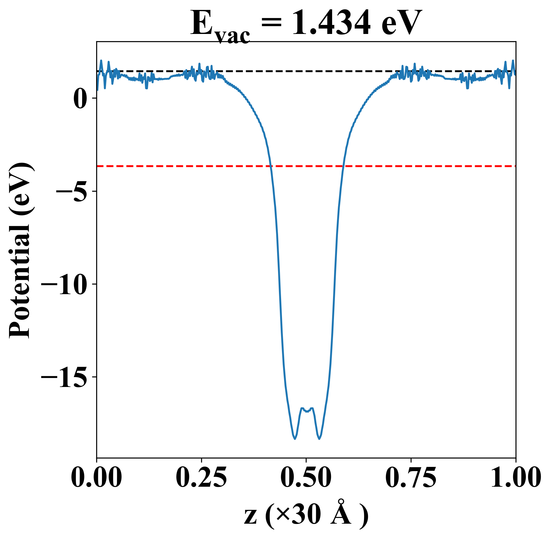
| E-fermi |
-3.673 eV |
| Vacuum level |
1.434 eV |
| VBM |
-3.673 eV |
| CBM |
-3.659 eV |
| Work function |
5.108 eV |
| Direct gap |
No |
| Property |
Value |
| Band gap |
0.01 eV |
| E-fermi |
-3.673 eV |
| Vacuum level |
1.434 eV |
| VBM |
-3.673 eV |
| CBM |
-3.659 eV |
| Work function |
5.108 eV |
| Cij (N/m) |
xx |
yy |
xy |
| xx |
24.360 |
13.156 |
0.000 |
| yy |
13.156 |
24.360 |
-0.000 |
| xy |
0.000 |
-0.000 |
5.602 |
| Phonon mode at Γ point (THz) |
| -4.177 |
| -4.177 |
| -0.004 |
| 0.001 |
| 0.001 |
| 2.255 |
| 2.944 |
| 2.944 |
| 6.385 |
| Property |
Value |
| from where |
c2db-507 |