Hg1Se1
MatHub2d-690-Hg1Se1
| Property |
Value |
| Space group |
(156, 'P3m1') |
| Crystal system |
hexagonal |
| Magnetic |
No |
| Band gap (PBE) (eV) |
0.00 |
| Free energy (eV) |
-3.770 |
| Free energy / atom (eV) |
-1.885 |
Lattice Parameters (basic)
| a, b, c (Å): | 4.464 | 4.464 | 30.000 |
| α, β, γ (°): | 90.000 | 90.000 | 120.000 |
Lattice Parameters (computed)
| a, b, c (Å): | 4.469 | 4.469 | 30.000 |
| α, β, γ (°): | 90.000 | 90.000 | 120.000 |
| Property |
Value |
| Band gap |
0.00 eV |
| E-fermi |
-4.768 eV |
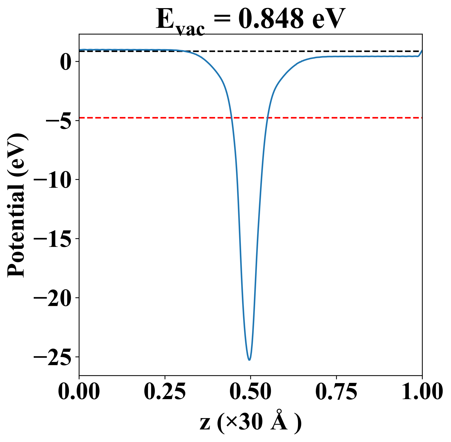
| Vacuum level |
0.848 eV |
| VBM |
-4.771 eV |
| CBM |
-4.739 eV |
| Work function |
5.615 eV |
| Direct gap |
No |
| Property |
Value |
| Band gap |
0.00 eV |
| E-fermi |
-4.768 eV |
| Vacuum level |
0.848 eV |
| VBM |
-4.771 eV |
| CBM |
-4.739 eV |
| Work function |
5.615 eV |
| Cij (N/m) |
xx |
yy |
xy |
| xx |
29.987 |
18.054 |
0.000 |
| yy |
18.054 |
29.987 |
-0.000 |
| xy |
0.000 |
-0.000 |
5.966 |
| Phonon mode at Γ point (THz) |
| -0.001 |
| -0.001 |
| -0.001 |
| 1.873 |
| 4.415 |
| 4.415 |
| Property |
Value |
| from where |
c2db-696 |