Hg1S2
MatHub2d-689-Hg1S2
| Property |
Value |
| Space group |
(187, 'P-6m2') |
| Crystal system |
hexagonal |
| Magnetic |
Yes |
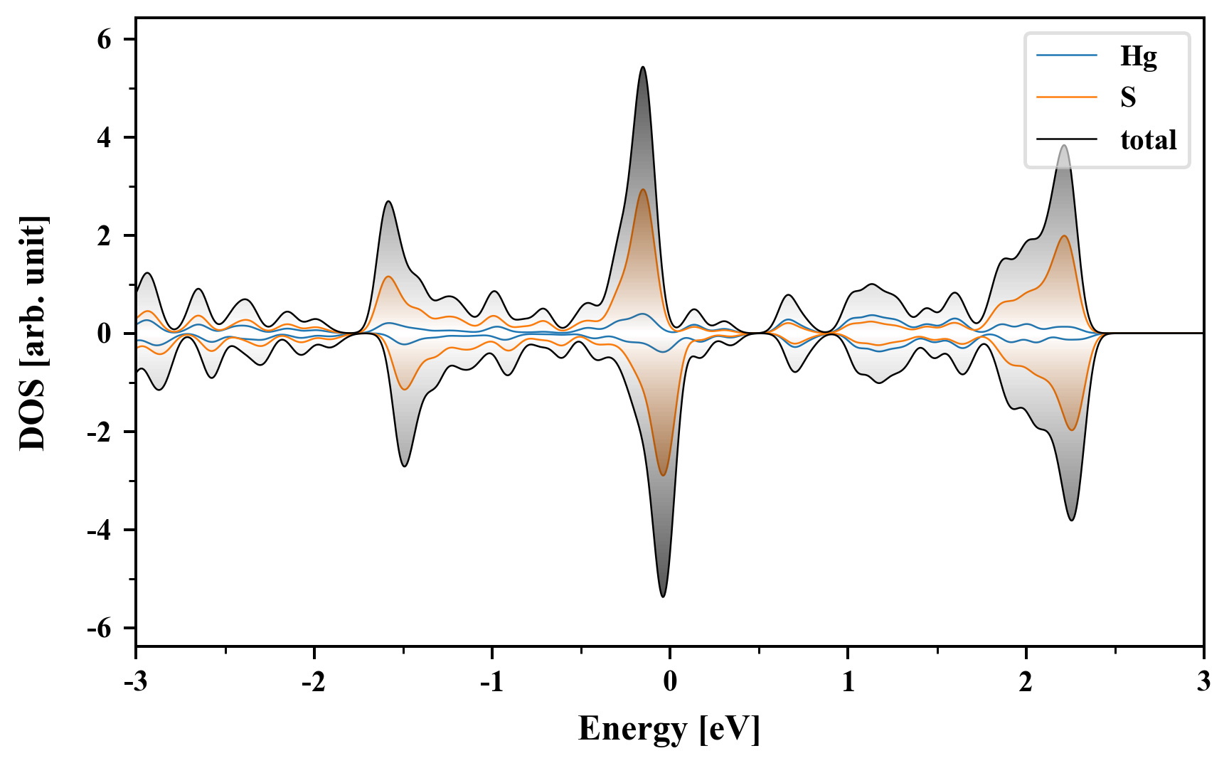
| Band gap (PBE) (eV) |
0.00 |
| Free energy (eV) |
-6.898 |
| Free energy / atom (eV) |
-2.299 |
Lattice Parameters (basic)
| a, b, c (Å): | 4.312 | 4.312 | 30.000 |
| α, β, γ (°): | 90.000 | 90.000 | 120.000 |
Lattice Parameters (computed)
| a, b, c (Å): | 4.372 | 4.372 | 30.000 |
| α, β, γ (°): | 90.000 | 90.000 | 120.000 |
| Property |
Value |
| Band gap |
0.00 eV |
| E-fermi |
-4.095 eV |
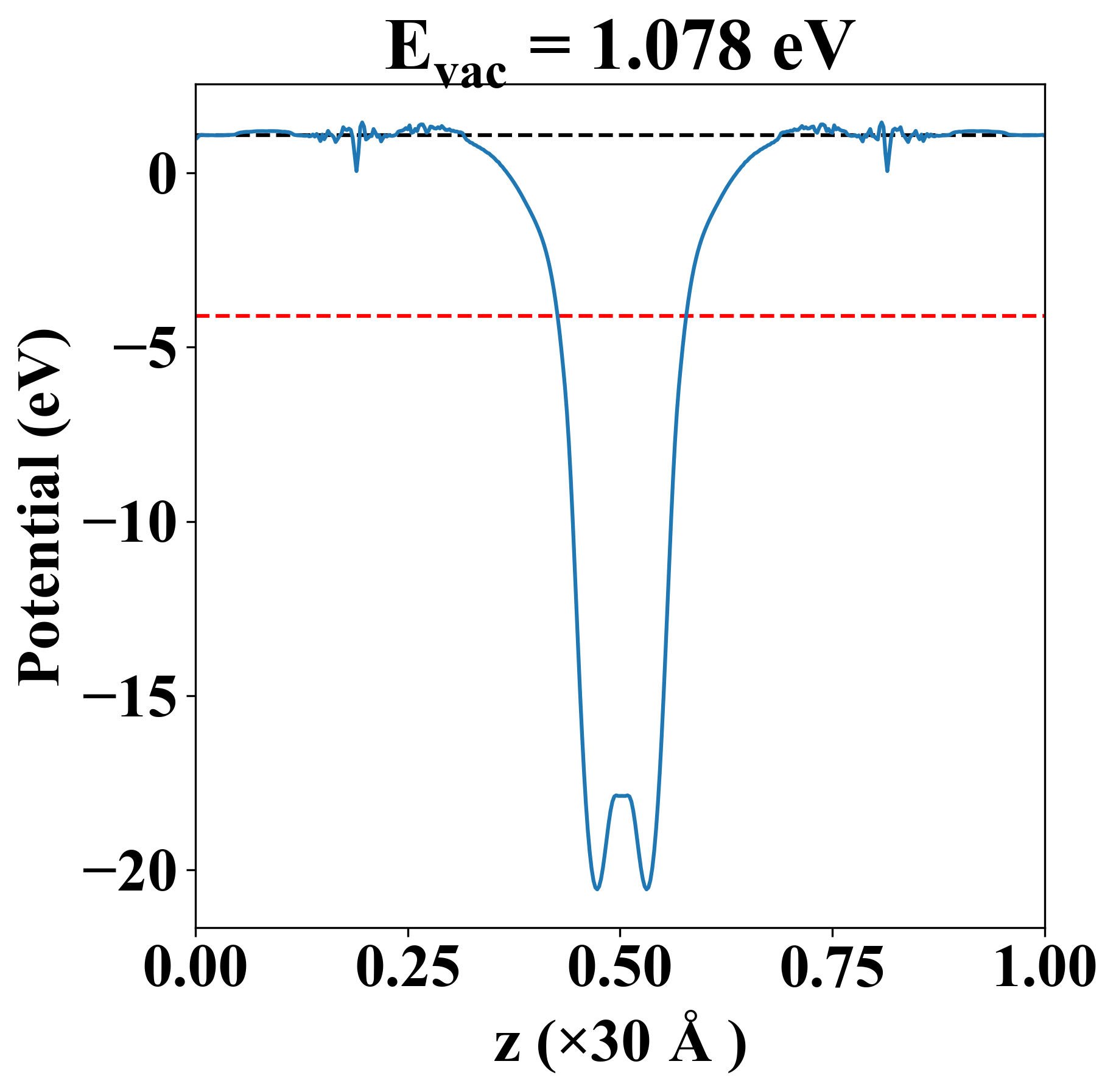
| Vacuum level |
1.078 eV |
| VBM |
-4.095 eV |
| CBM |
-4.094 eV |
| Work function |
5.174 eV |
| Direct gap |
No |
| Property |
Value |
| Band gap |
0.00 eV |
| E-fermi |
-4.095 eV |
| Vacuum level |
1.078 eV |
| VBM |
-4.095 eV |
| CBM |
-4.094 eV |
| Work function |
5.174 eV |
| Cij (N/m) |
xx |
yy |
xy |
| xx |
24.835 |
14.855 |
0.000 |
| yy |
14.855 |
24.835 |
0.000 |
| xy |
0.000 |
0.000 |
4.990 |
| Phonon mode at Γ point (THz) |
| -8.573 |
| -8.573 |
| -0.004 |
| -0.003 |
| -0.003 |
| 2.303 |
| 4.075 |
| 4.075 |
| 12.073 |
| Property |
Value |
| from where |
c2db-504 |