Hg1S2
MatHub2d-688-Hg1S2
| Property |
Value |
| Space group |
(164, 'P-3m1') |
| Crystal system |
hexagonal |
| Magnetic |
Yes |
| Band gap (PBE) (eV) |
0.00 |
| Free energy (eV) |
-6.616 |
| Free energy / atom (eV) |
-2.205 |
Lattice Parameters (basic)
| a, b, c (Å): | 3.873 | 3.873 | 30.000 |
| α, β, γ (°): | 90.000 | 90.000 | 120.000 |
Lattice Parameters (computed)
| a, b, c (Å): | 3.887 | 3.887 | 30.000 |
| α, β, γ (°): | 90.000 | 90.000 | 120.000 |
| Property |
Value |
| Band gap |
0.00 eV |
| E-fermi |
-4.540 eV |
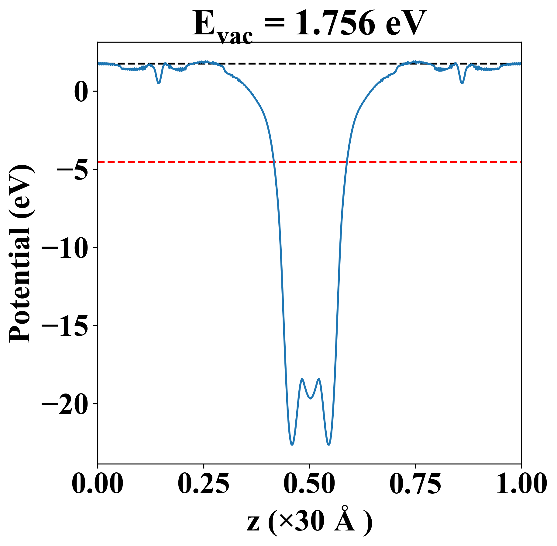
| Vacuum level |
1.756 eV |
| VBM |
-4.546 eV |
| CBM |
-4.539 eV |
| Work function |
6.296 eV |
| Direct gap |
No |
| Property |
Value |
| Band gap |
0.00 eV |
| E-fermi |
-4.540 eV |
| Vacuum level |
1.756 eV |
| VBM |
-4.546 eV |
| CBM |
-4.539 eV |
| Work function |
6.296 eV |
| Cij (N/m) |
xx |
yy |
xy |
| xx |
20.327 |
13.729 |
-0.000 |
| yy |
13.729 |
20.327 |
-0.000 |
| xy |
-0.000 |
-0.000 |
3.299 |
| Phonon mode at Γ point (THz) |
| -3.715 |
| -3.715 |
| -0.004 |
| 0.001 |
| 0.001 |
| 5.508 |
| 5.929 |
| 5.929 |
| 6.636 |
| Property |
Value |
| from where |
c2db-503 |