Hg1S1
MatHub2d-687-Hg1S1
| Property |
Value |
| Space group |
(156, 'P3m1') |
| Crystal system |
hexagonal |
| Magnetic |
No |
| Band gap (PBE) (eV) |
0.00 |
| Free energy (eV) |
-4.275 |
| Free energy / atom (eV) |
-2.137 |
Lattice Parameters (basic)
| a, b, c (Å): | 4.287 | 4.287 | 30.000 |
| α, β, γ (°): | 90.000 | 90.000 | 120.000 |
Lattice Parameters (computed)
| a, b, c (Å): | 4.287 | 4.287 | 30.000 |
| α, β, γ (°): | 90.000 | 90.000 | 120.000 |
| Property |
Value |
| Band gap |
0.00 eV |
| E-fermi |
-4.776 eV |
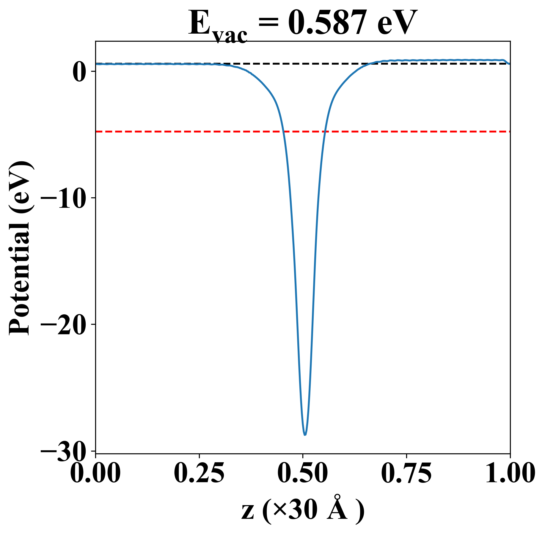
| Vacuum level |
0.587 eV |
| VBM |
-4.807 eV |
| CBM |
-4.765 eV |
| Work function |
5.363 eV |
| Direct gap |
No |
| Property |
Value |
| Band gap |
0.00 eV |
| E-fermi |
-4.776 eV |
| Vacuum level |
0.587 eV |
| VBM |
-4.807 eV |
| CBM |
-4.765 eV |
| Work function |
5.363 eV |
| Cij (N/m) |
xx |
yy |
xy |
| xx |
36.311 |
22.882 |
0.000 |
| yy |
22.882 |
36.311 |
0.000 |
| xy |
0.000 |
0.000 |
6.714 |
| Phonon mode at Γ point (THz) |
| -0.004 |
| -0.001 |
| -0.001 |
| 1.250 |
| 6.258 |
| 6.258 |
| Property |
Value |
| from where |
c2db-695 |