Hg1O2
MatHub2d-686-Hg1O2
| Property |
Value |
| Space group |
(164, 'P-3m1') |
| Crystal system |
hexagonal |
| Magnetic |
Yes |
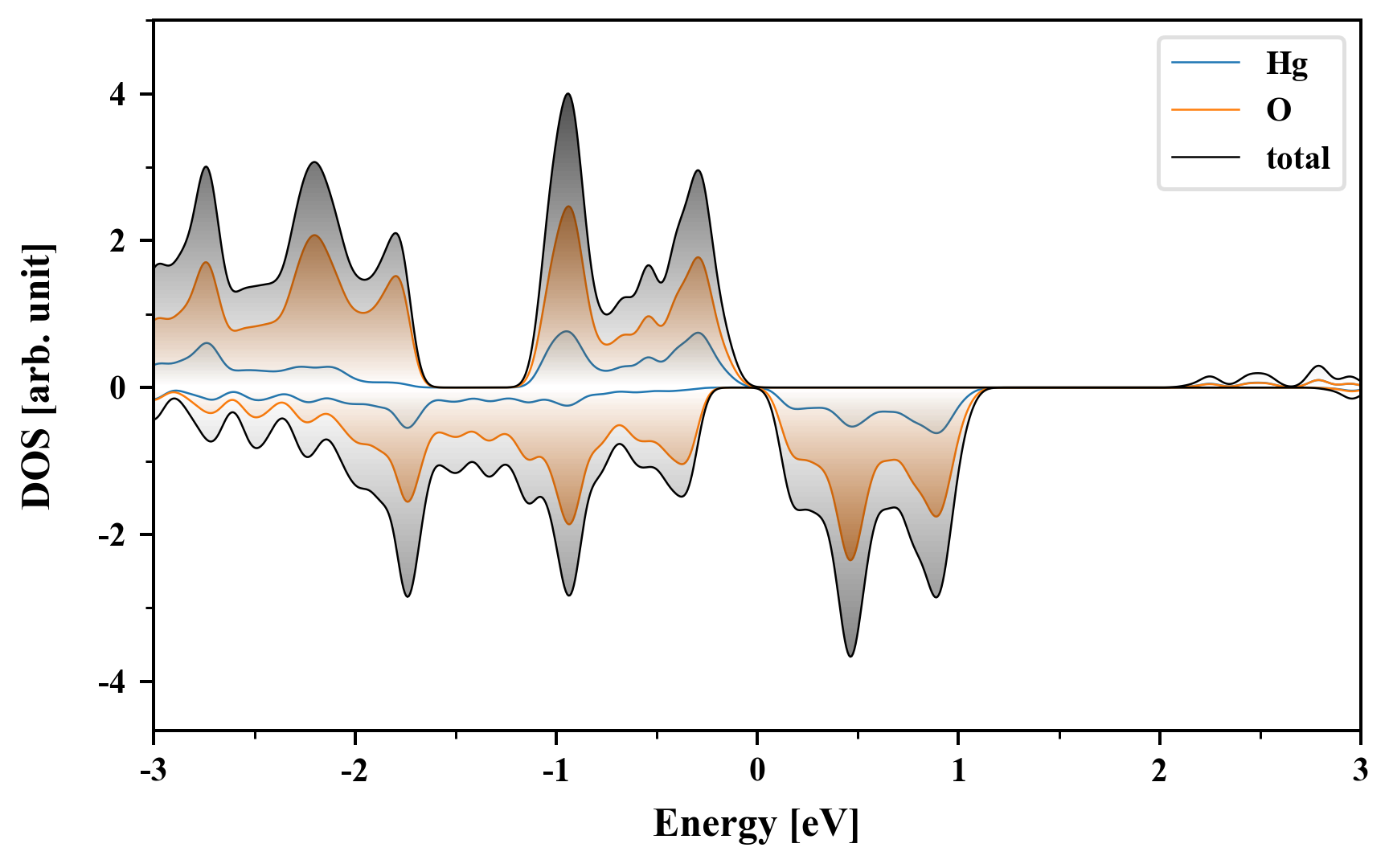
| Band gap (PBE) (eV) |
0.00 |
| Free energy (eV) |
-8.755 |
| Free energy / atom (eV) |
-2.918 |
Lattice Parameters (basic)
| a, b, c (Å): | 3.459 | 3.459 | 30.000 |
| α, β, γ (°): | 90.000 | 90.000 | 120.000 |
Lattice Parameters (computed)
| a, b, c (Å): | 3.468 | 3.468 | 30.000 |
| α, β, γ (°): | 90.000 | 90.000 | 120.000 |
| Property |
Value |
| Band gap |
0.00 eV |
| E-fermi |
-6.138 eV |
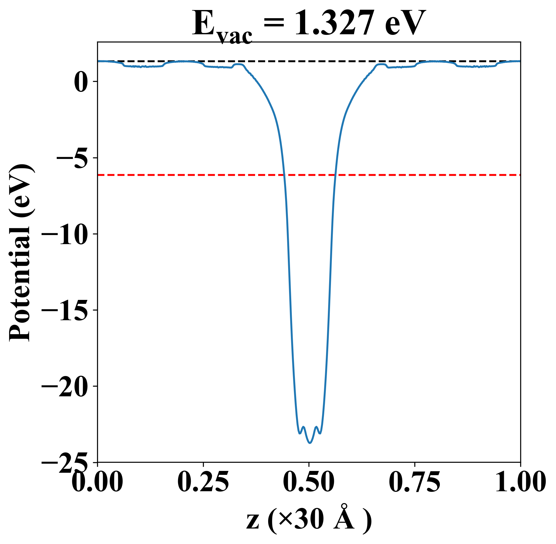
| Vacuum level |
1.327 eV |
| VBM |
-6.256 eV |
| CBM |
-6.032 eV |
| Work function |
7.465 eV |
| Direct gap |
No |
| Property |
Value |
| Band gap |
0.13 eV |
| E-fermi |
-6.108 eV |
| VBM |
-6.178 eV |
| CBM |
-6.045 eV |
| Free energy (eV) |
-9.044 |
| Free energy / atom (eV) |
-3.015 |
| Property |
Value |
| Band gap |
0.00 eV |
| E-fermi |
-6.138 eV |
| Vacuum level |
1.327 eV |
| VBM |
-6.256 eV |
| CBM |
-6.032 eV |
| Work function |
7.465 eV |
| Cij (N/m) |
xx |
yy |
xy |
| xx |
44.314 |
39.698 |
0.000 |
| yy |
39.698 |
44.314 |
0.000 |
| xy |
0.000 |
0.000 |
2.308 |
| Phonon mode at Γ point (THz) |
| -5.867 |
| -5.867 |
| -0.007 |
| -0.002 |
| -0.002 |
| 8.693 |
| 8.842 |
| 10.453 |
| 10.453 |
| Property |
Value |
| from where |
c2db-1859 |