Hg1O2
MatHub2d-685-Hg1O2
| Property |
Value |
| Space group |
(187, 'P-6m2') |
| Crystal system |
hexagonal |
| Magnetic |
Yes |
| Band gap (PBE) (eV) |
0.00 |
| Free energy (eV) |
-8.183 |
| Free energy / atom (eV) |
-2.728 |
Lattice Parameters (basic)
| a, b, c (Å): | 3.509 | 3.509 | 30.000 |
| α, β, γ (°): | 90.000 | 90.000 | 120.000 |
Lattice Parameters (computed)
| a, b, c (Å): | 3.514 | 3.514 | 30.000 |
| α, β, γ (°): | 90.000 | 90.000 | 120.000 |
| Property |
Value |
| Band gap |
0.00 eV |
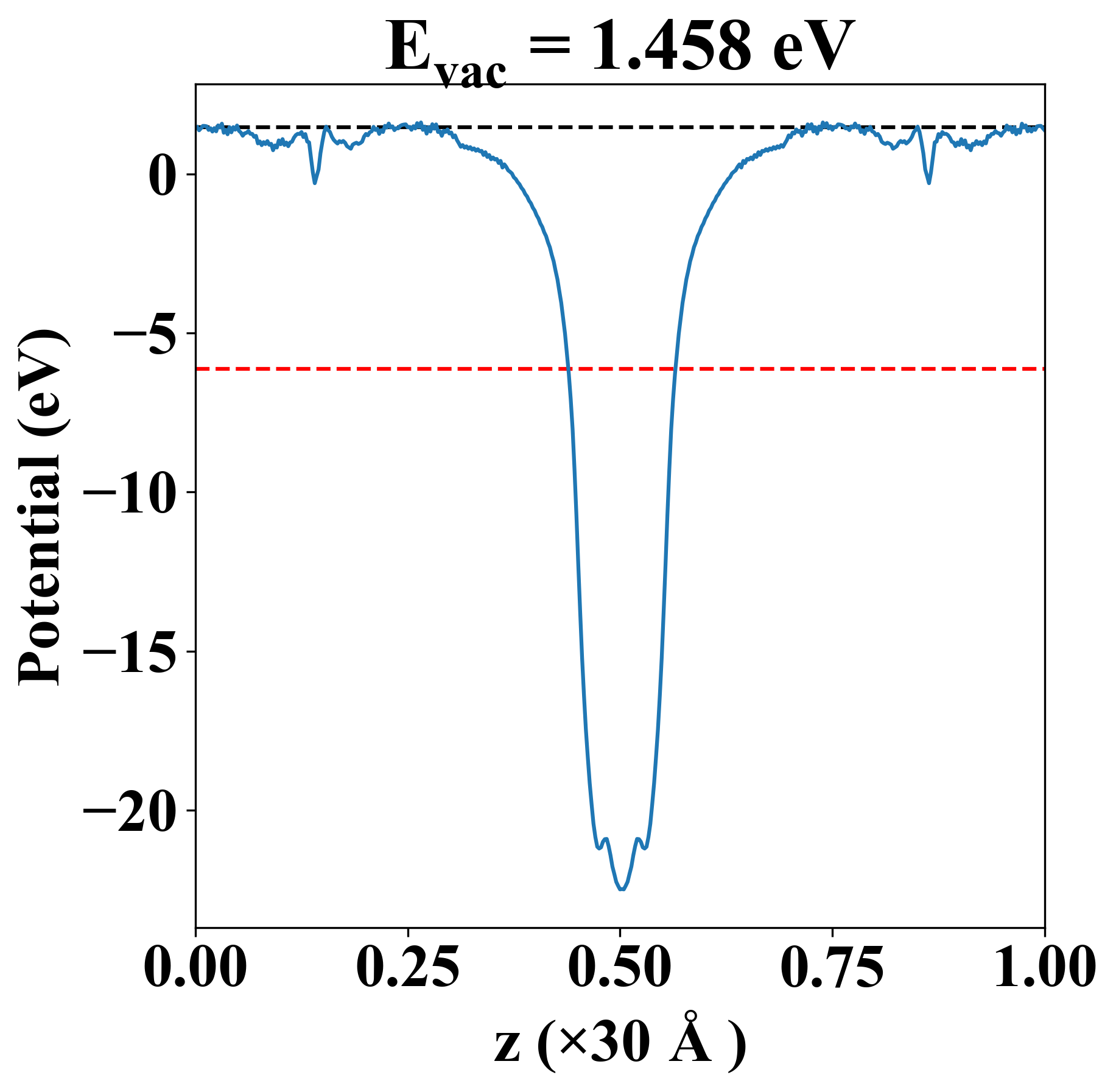
| E-fermi |
-6.122 eV |
| Vacuum level |
1.458 eV |
| VBM |
-6.123 eV |
| CBM |
-6.122 eV |
| Work function |
7.581 eV |
| Direct gap |
No |
| Property |
Value |
| Band gap |
0.00 eV |
| E-fermi |
-6.122 eV |
| Vacuum level |
1.458 eV |
| VBM |
-6.123 eV |
| CBM |
-6.122 eV |
| Work function |
7.581 eV |
| Cij (N/m) |
xx |
yy |
xy |
| xx |
-1.104 |
-42.807 |
-0.000 |
| yy |
-42.807 |
-1.104 |
-0.000 |
| xy |
-0.000 |
-0.000 |
20.851 |
| Phonon mode at Γ point (THz) |
| -2.165 |
| -2.165 |
| -0.005 |
| 0.010 |
| 0.010 |
| 4.152 |
| 4.152 |
| 8.786 |
| 9.677 |
| Property |
Value |
| from where |
c2db-502 |