Hg1O1
MatHub2d-684-Hg1O1
| Property |
Value |
| Space group |
(187, 'P-6m2') |
| Crystal system |
hexagonal |
| Magnetic |
No |
| Band gap (PBE) (eV) |
0.00 |
| Free energy (eV) |
-5.250 |
| Free energy / atom (eV) |
-2.625 |
Lattice Parameters (basic)
| a, b, c (Å): | 3.766 | 3.766 | 30.000 |
| α, β, γ (°): | 90.000 | 90.000 | 120.000 |
Lattice Parameters (computed)
| a, b, c (Å): | 3.766 | 3.766 | 30.000 |
| α, β, γ (°): | 90.000 | 90.000 | 120.000 |
| Property |
Value |
| Band gap |
0.00 eV |
| E-fermi |
-4.612 eV |
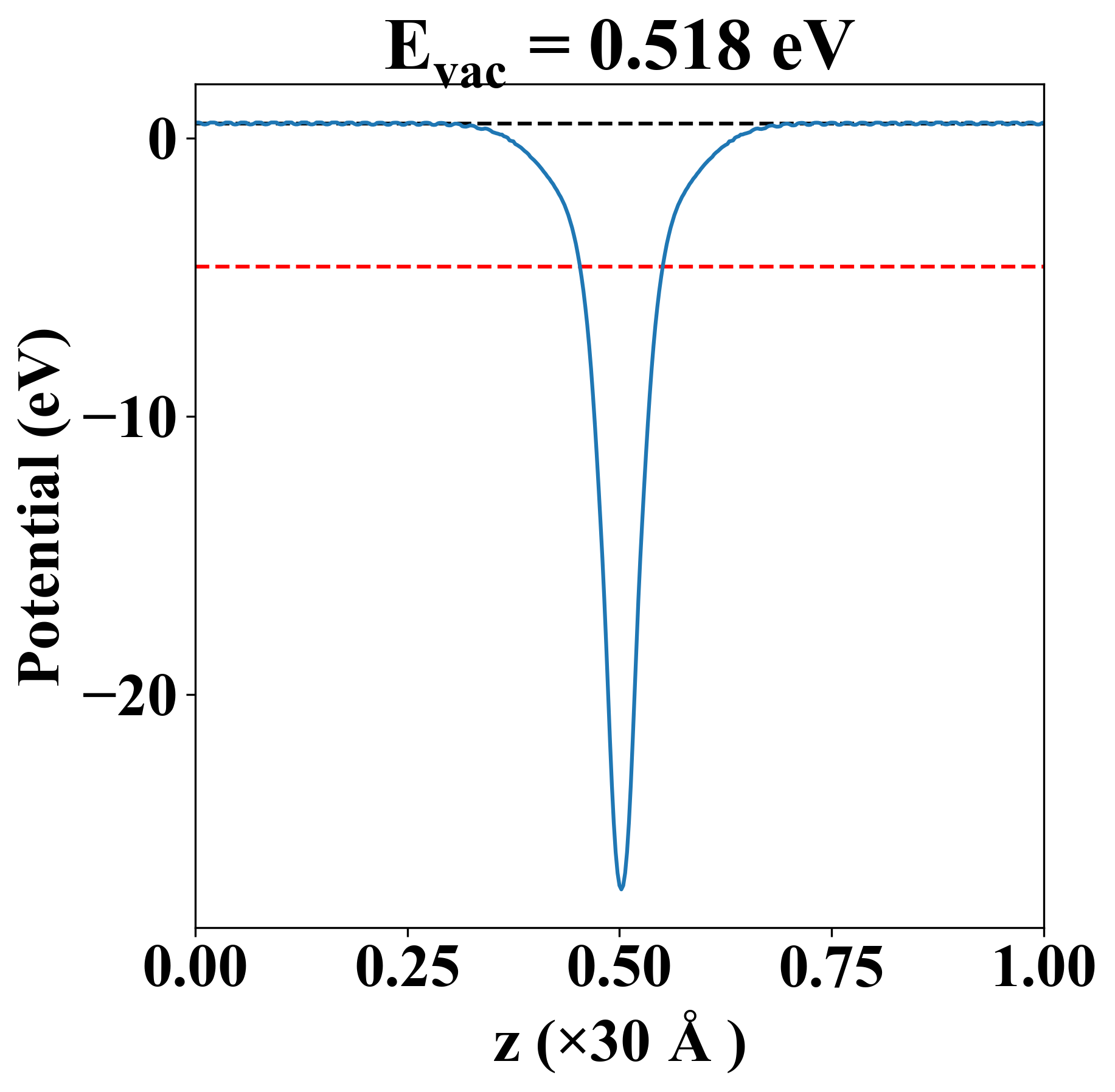
| Vacuum level |
0.518 eV |
| VBM |
-4.613 eV |
| CBM |
-4.608 eV |
| Work function |
5.130 eV |
| Direct gap |
No |
| Property |
Value |
| Band gap |
0.00 eV |
| E-fermi |
-4.612 eV |
| Vacuum level |
0.518 eV |
| VBM |
-4.613 eV |
| CBM |
-4.608 eV |
| Work function |
5.130 eV |
| Cij (N/m) |
xx |
yy |
xy |
| xx |
34.116 |
70.415 |
0.000 |
| yy |
70.415 |
34.116 |
-0.000 |
| xy |
0.000 |
-0.000 |
-18.149 |
| Phonon mode at Γ point (THz) |
| -0.025 |
| -0.006 |
| -0.006 |
| 4.258 |
| 6.526 |
| 6.526 |
| Property |
Value |
| from where |
c2db-694 |