Hg1I2
MatHub2d-683-Hg1I2
| Property |
Value |
| Space group |
(187, 'P-6m2') |
| Crystal system |
hexagonal |
| Magnetic |
No |
| Band gap (PBE) (eV) |
1.00 |
| Free energy (eV) |
-3.551 |
| Free energy / atom (eV) |
-1.184 |
Lattice Parameters (basic)
| a, b, c (Å): | 4.253 | 4.253 | 30.000 |
| α, β, γ (°): | 90.000 | 90.000 | 120.000 |
Lattice Parameters (computed)
| a, b, c (Å): | 4.250 | 4.250 | 30.000 |
| α, β, γ (°): | 90.000 | 90.000 | 120.000 |
| Property |
Value |
| Band gap |
1.00 eV |
| E-fermi |
-3.997 eV |
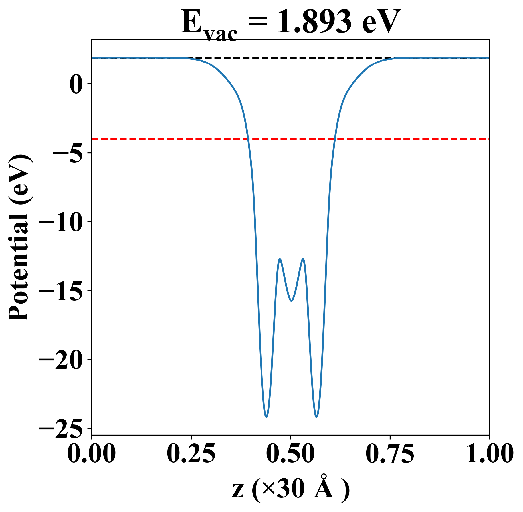
| Vacuum level |
1.893 eV |
| VBM |
-4.227 eV |
| CBM |
-3.223 eV |
| Work function |
5.890 eV |
| Direct gap |
No |
| Property |
Value |
| Band gap |
0.67 eV |
| E-fermi |
-3.547 eV |
| VBM |
-3.831 eV |
| CBM |
-3.160 eV |
| Free energy (eV) |
-4.131 |
| Free energy / atom (eV) |
-1.377 |
| Property |
Value |
| Band gap |
1.00 eV |
| E-fermi |
-3.997 eV |
| Vacuum level |
1.893 eV |
| VBM |
-4.227 eV |
| CBM |
-3.223 eV |
| Work function |
5.890 eV |
| Cij (N/m) |
xx |
yy |
xy |
| xx |
31.872 |
10.650 |
-0.000 |
| yy |
10.650 |
31.872 |
0.000 |
| xy |
-0.000 |
0.000 |
10.611 |
| Phonon mode at Γ point (THz) |
| -1.796 |
| -1.796 |
| -0.003 |
| -0.003 |
| -0.002 |
| 1.156 |
| 1.156 |
| 3.206 |
| 3.305 |
| Property |
Value |
| from where |
c2db-1006 |