Hg1I2
MatHub2d-682-Hg1I2
| Property |
Value |
| Space group |
(164, 'P-3m1') |
| Crystal system |
hexagonal |
| Magnetic |
No |
| Band gap (PBE) (eV) |
1.40 |
| Free energy (eV) |
-3.889 |
| Free energy / atom (eV) |
-1.296 |
Lattice Parameters (basic)
| a, b, c (Å): | 4.387 | 4.387 | 30.000 |
| α, β, γ (°): | 90.000 | 90.000 | 120.000 |
Lattice Parameters (computed)
| a, b, c (Å): | 4.381 | 4.381 | 30.000 |
| α, β, γ (°): | 90.000 | 90.000 | 120.000 |
| Property |
Value |
| Band gap |
1.40 eV |
| E-fermi |
-4.183 eV |
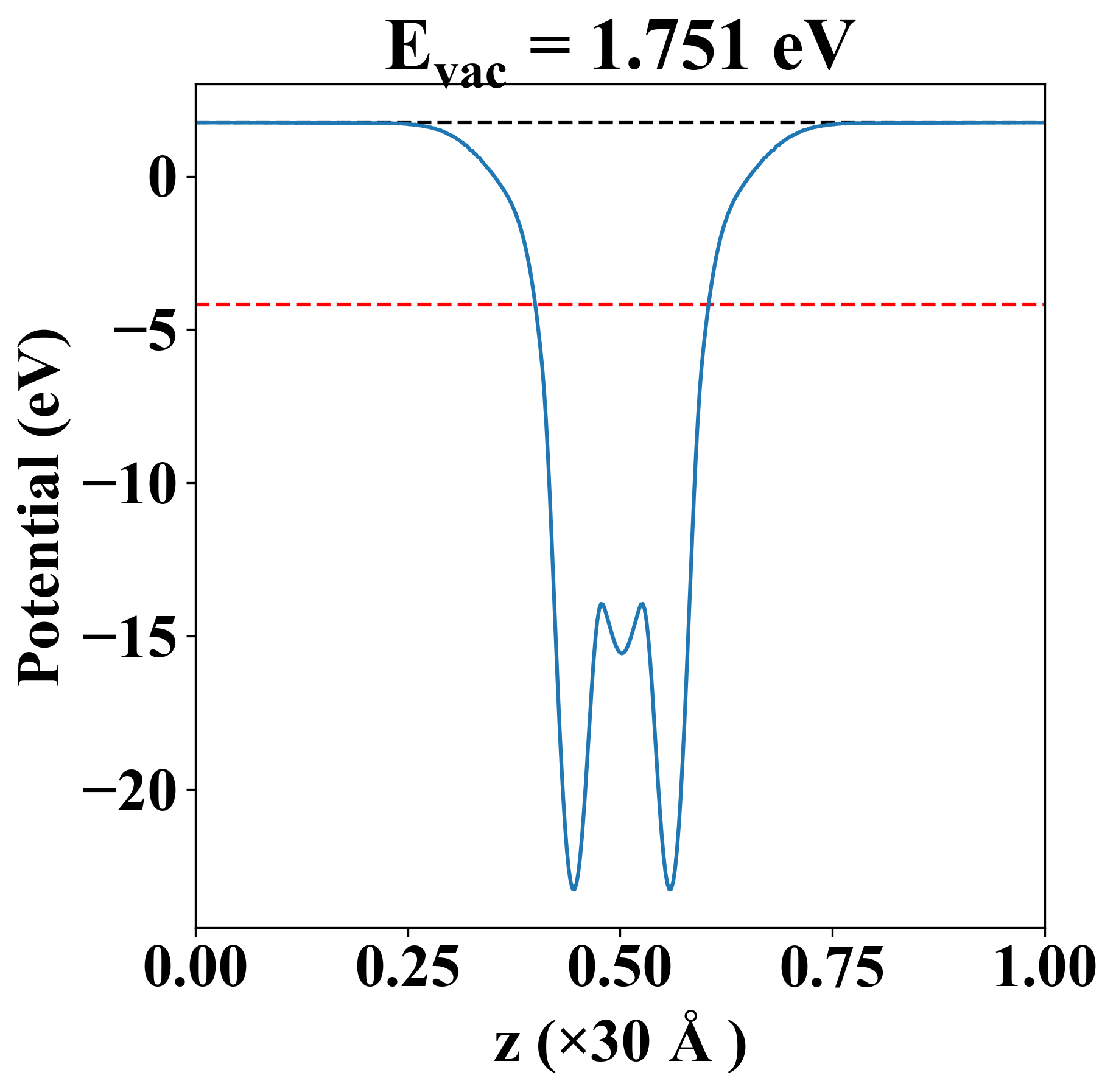
| Vacuum level |
1.751 eV |
| VBM |
-4.403 eV |
| CBM |
-3.000 eV |
| Work function |
5.933 eV |
| Direct gap |
No |
| Property |
Value |
| Band gap |
1.15 eV |
| E-fermi |
-3.837 eV |
| VBM |
-4.089 eV |
| CBM |
-2.937 eV |
| Free energy (eV) |
-4.453 |
| Free energy / atom (eV) |
-1.484 |
| Property |
Value |
| Band gap |
1.40 eV |
| E-fermi |
-4.183 eV |
| Vacuum level |
1.751 eV |
| VBM |
-4.403 eV |
| CBM |
-3.000 eV |
| Work function |
5.933 eV |
| Cij (N/m) |
xx |
yy |
xy |
| xx |
18.858 |
10.215 |
0.000 |
| yy |
10.215 |
18.858 |
0.000 |
| xy |
0.000 |
0.000 |
4.322 |
| Phonon mode at Γ point (THz) |
| -0.167 |
| -0.167 |
| -0.002 |
| -0.002 |
| -0.001 |
| 1.475 |
| 1.475 |
| 2.824 |
| 3.181 |
| Property |
Value |
| from where |
c2db-886 |