Hf2Te2
MatHub2d-681-Hf2Te2
| Property |
Value |
| Space group |
(187, 'P-6m2') |
| Crystal system |
hexagonal |
| Magnetic |
No |
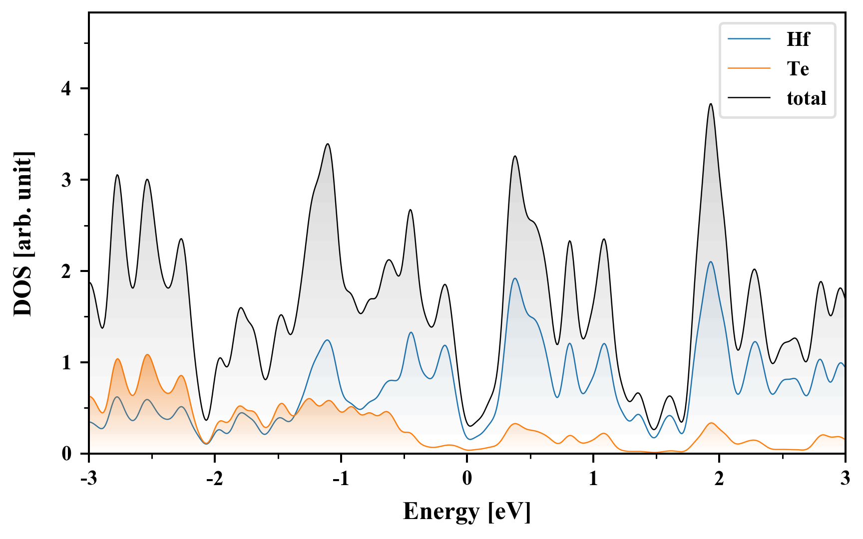
| Band gap (PBE) (eV) |
0.06 |
| Free energy (eV) |
-26.382 |
| Free energy / atom (eV) |
-6.596 |
Lattice Parameters (basic)
| a, b, c (Å): | 3.727 | 3.727 | 30.000 |
| α, β, γ (°): | 90.000 | 90.000 | 120.000 |
Lattice Parameters (computed)
| a, b, c (Å): | 3.722 | 3.722 | 30.000 |
| α, β, γ (°): | 90.000 | 90.000 | 120.000 |
| Property |
Value |
| Band gap |
0.06 eV |
| E-fermi |
-1.427 eV |
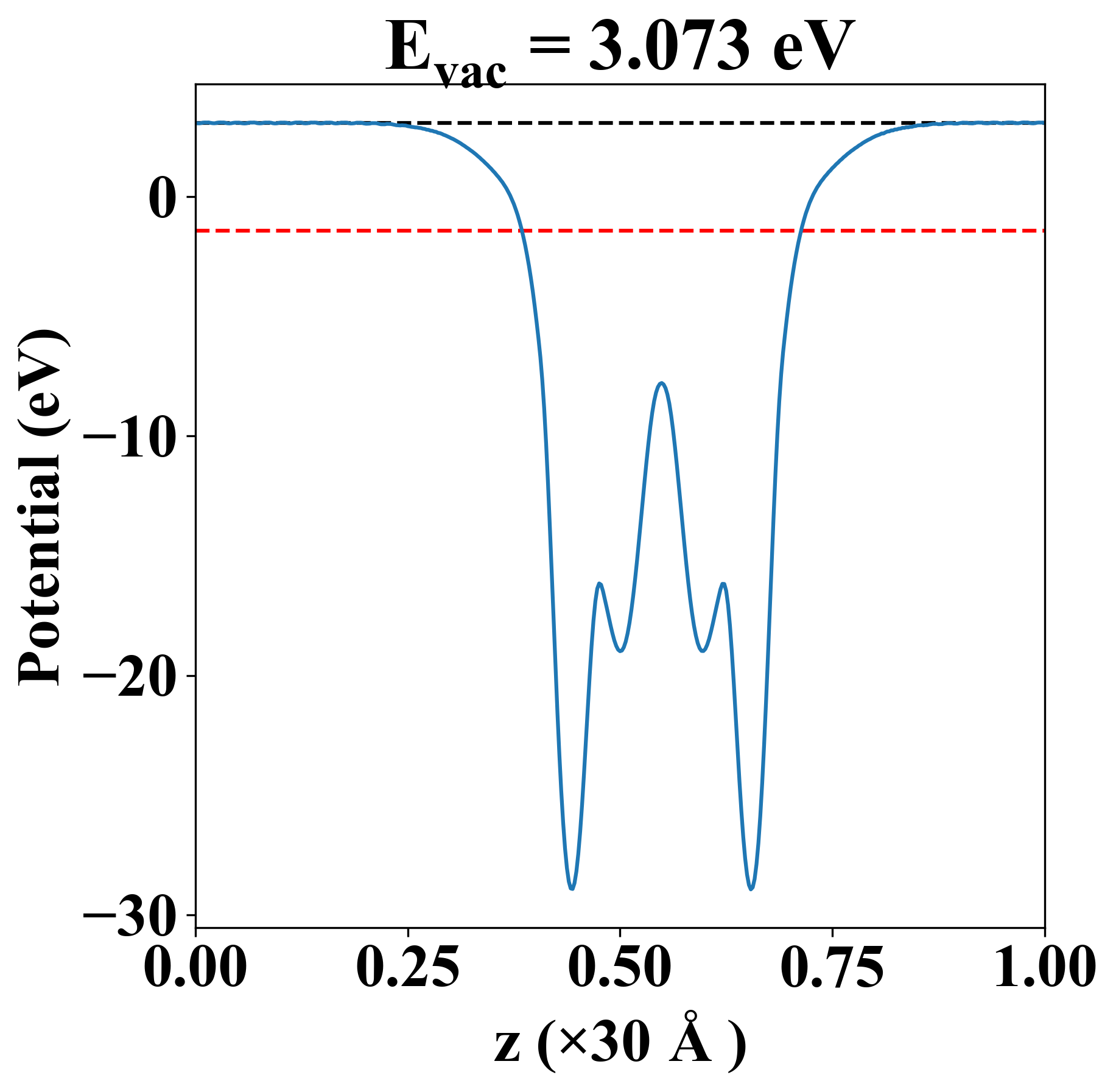
| Vacuum level |
3.073 eV |
| VBM |
-1.466 eV |
| CBM |
-1.403 eV |
| Work function |
4.500 eV |
| Direct gap |
No |
| Property |
Value |
| Band gap |
0.06 eV |
| E-fermi |
-1.427 eV |
| Vacuum level |
3.073 eV |
| VBM |
-1.466 eV |
| CBM |
-1.403 eV |
| Work function |
4.500 eV |
| Cij (N/m) |
xx |
yy |
xy |
| xx |
59.842 |
15.946 |
0.000 |
| yy |
15.946 |
59.842 |
-0.000 |
| xy |
0.000 |
-0.000 |
21.948 |
| Phonon mode at Γ point (THz) |
| -0.377 |
| -0.377 |
| -0.001 |
| -0.001 |
| -0.000 |
| 2.356 |
| 3.451 |
| 3.451 |
| 3.778 |
| 3.778 |
| 5.452 |
| 6.139 |
| Property |
Value |
| from where |
c2db-1635 |