Hf2Se2
MatHub2d-680-Hf2Se2
| Property |
Value |
| Space group |
(187, 'P-6m2') |
| Crystal system |
hexagonal |
| Magnetic |
Yes |
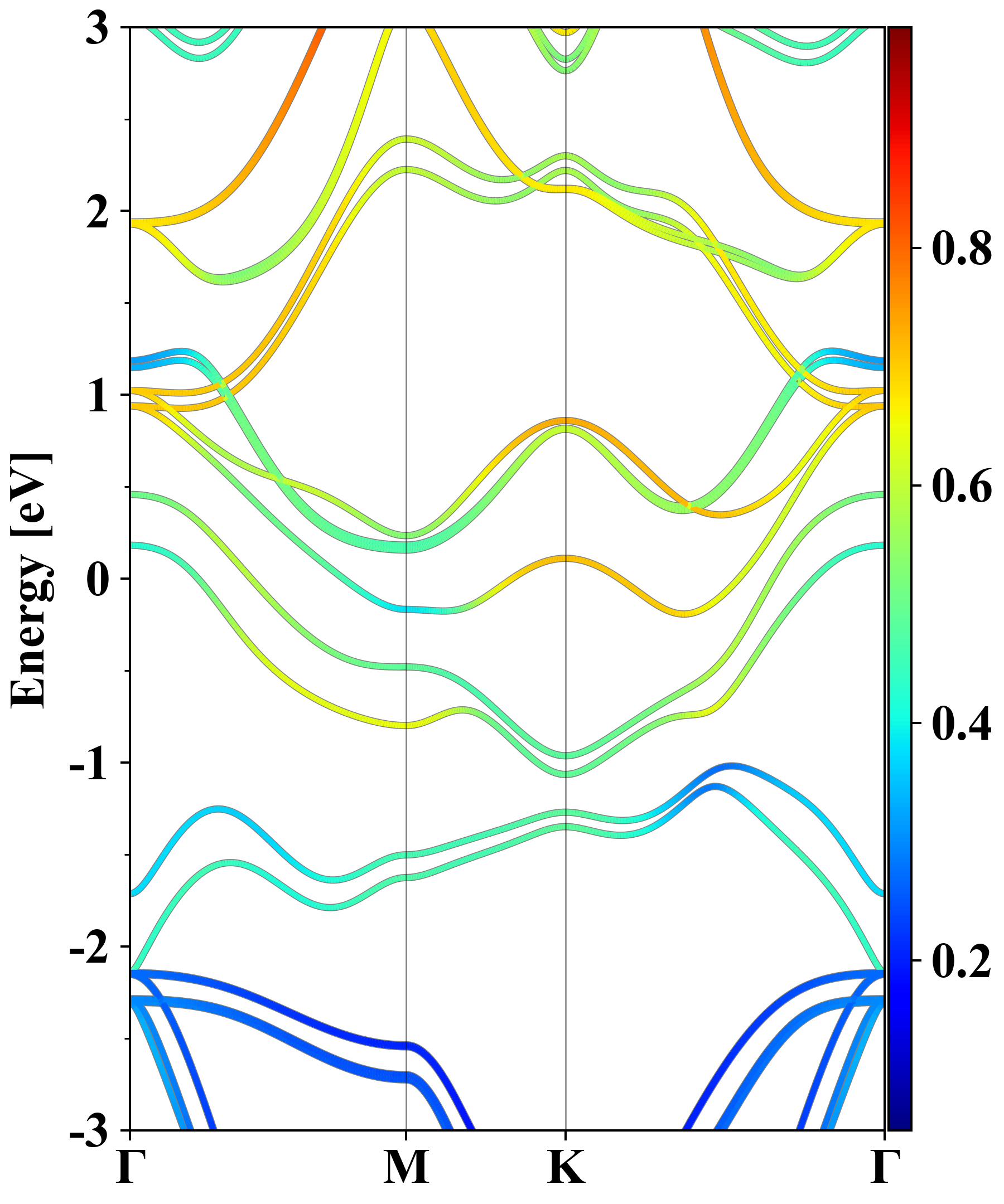
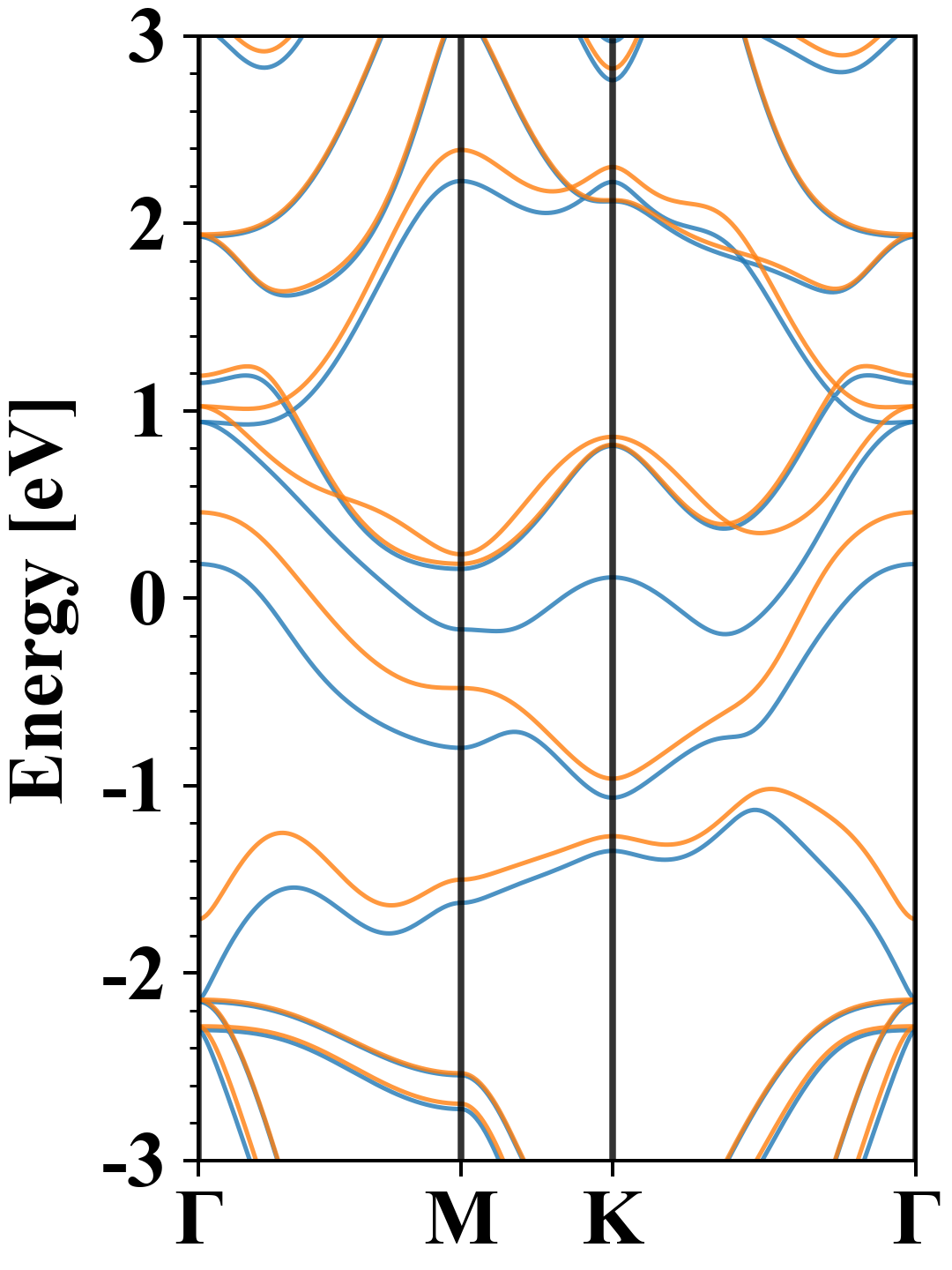
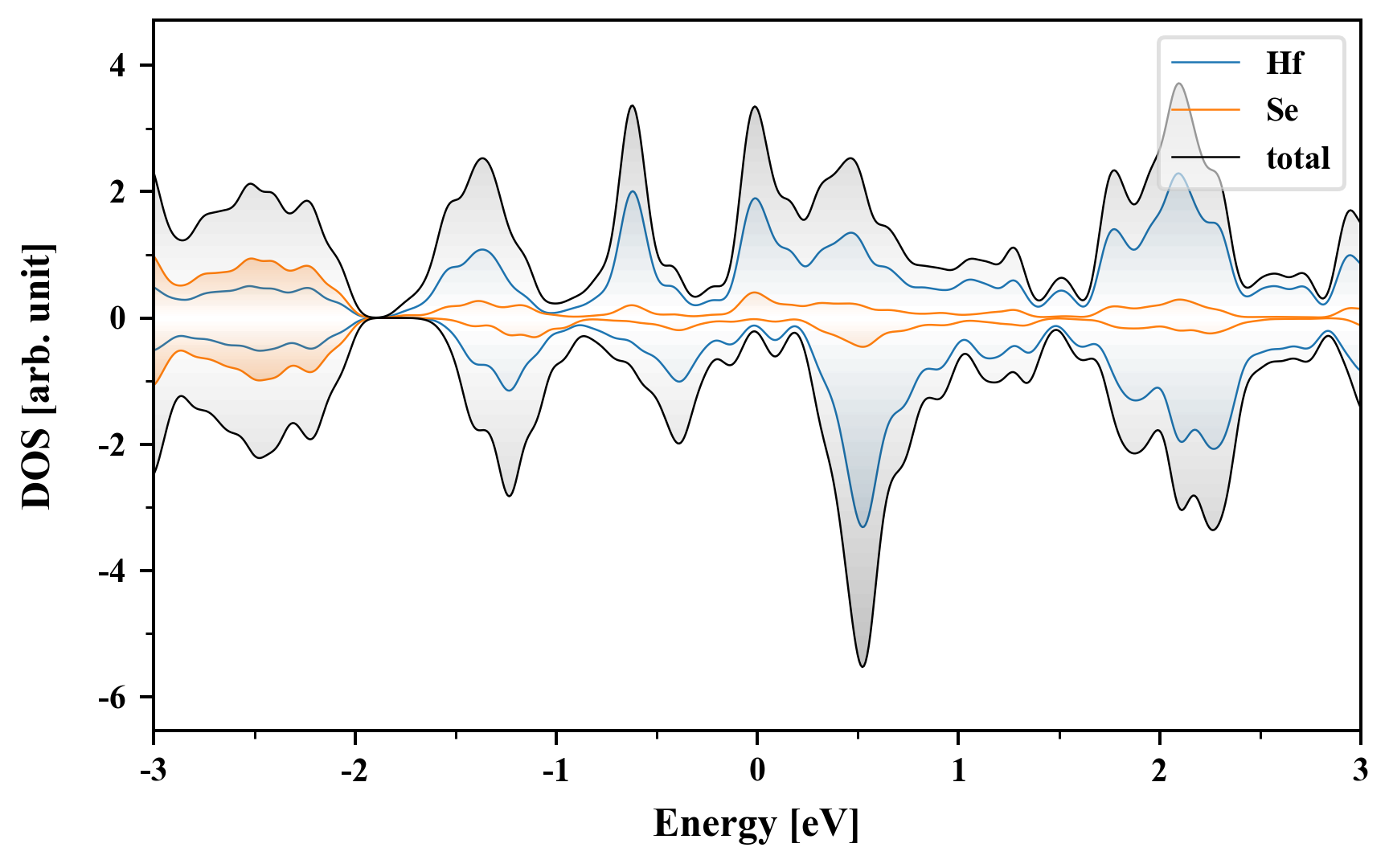
| Band gap (PBE) (eV) |
0.00 |
| Free energy (eV) |
-29.095 |
| Free energy / atom (eV) |
-7.274 |
Lattice Parameters (basic)
| a, b, c (Å): | 3.617 | 3.617 | 30.000 |
| α, β, γ (°): | 90.000 | 90.000 | 120.000 |
Lattice Parameters (computed)
| a, b, c (Å): | 3.610 | 3.610 | 30.000 |
| α, β, γ (°): | 90.000 | 90.000 | 120.000 |
| Property |
Value |
| Band gap |
0.00 eV |
| E-fermi |
-1.955 eV |
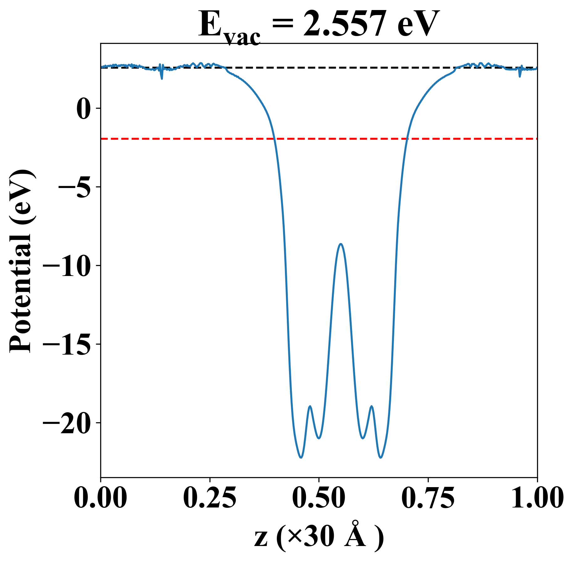
| Vacuum level |
2.557 eV |
| VBM |
-1.957 eV |
| CBM |
-1.953 eV |
| Work function |
4.512 eV |
| Direct gap |
No |
| Property |
Value |
| Band gap |
0.00 eV |
| E-fermi |
-1.955 eV |
| Vacuum level |
2.557 eV |
| VBM |
-1.957 eV |
| CBM |
-1.953 eV |
| Work function |
4.512 eV |
| Cij (N/m) |
xx |
yy |
xy |
| xx |
53.325 |
12.015 |
-0.000 |
| yy |
12.015 |
53.325 |
0.000 |
| xy |
-0.000 |
0.000 |
20.655 |
| Phonon mode at Γ point (THz) |
| -0.696 |
| -0.696 |
| -0.002 |
| -0.001 |
| -0.001 |
| 2.730 |
| 4.495 |
| 4.495 |
| 4.571 |
| 4.571 |
| 6.431 |
| 6.912 |
| Property |
Value |
| from where |
c2db-1633 |