Hf2S2
MatHub2d-679-Hf2S2
| Property |
Value |
| Space group |
(187, 'P-6m2') |
| Crystal system |
hexagonal |
| Magnetic |
Yes |
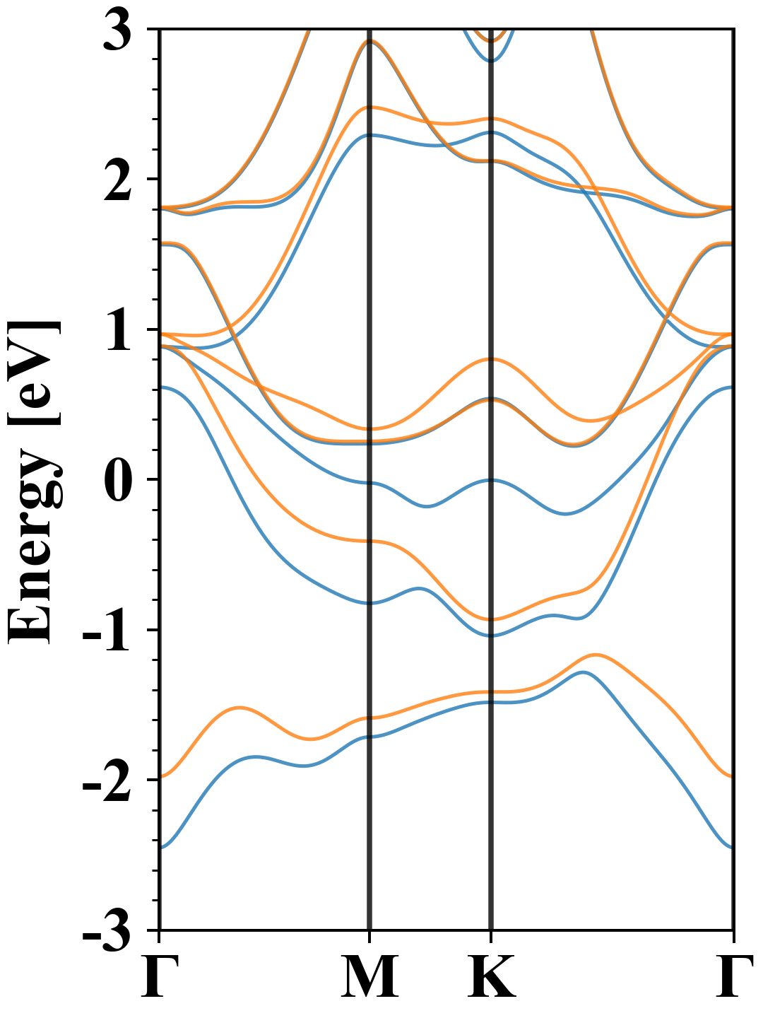
| Band gap (PBE) (eV) |
0.00 |
| Free energy (eV) |
-31.299 |
| Free energy / atom (eV) |
-7.825 |
Lattice Parameters (basic)
| a, b, c (Å): | 3.555 | 3.555 | 30.000 |
| α, β, γ (°): | 90.000 | 90.000 | 120.000 |
Lattice Parameters (computed)
| a, b, c (Å): | 3.551 | 3.551 | 30.000 |
| α, β, γ (°): | 90.000 | 90.000 | 120.000 |
| Property |
Value |
| Band gap |
0.00 eV |
| E-fermi |
-2.025 eV |
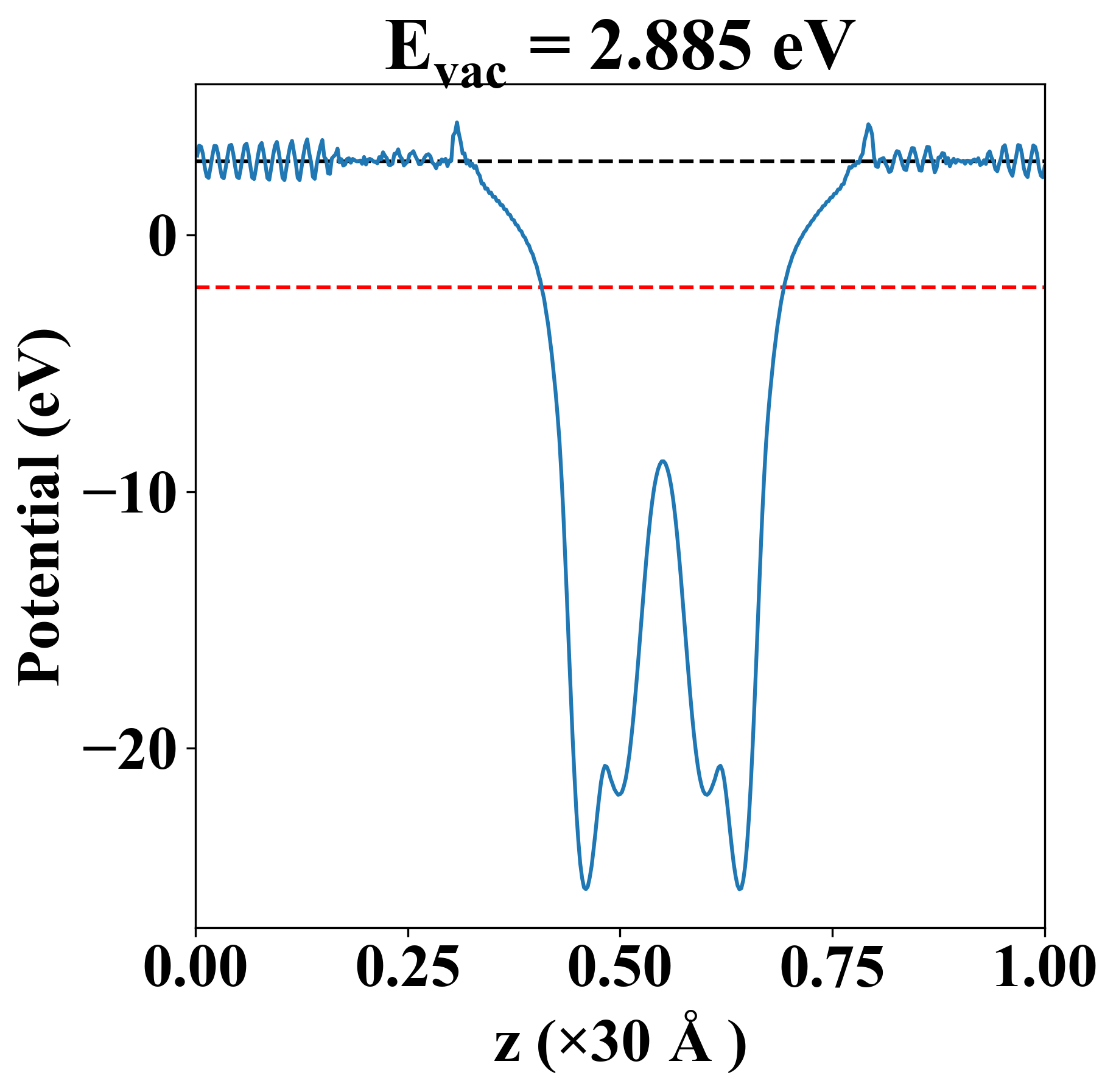
| Vacuum level |
2.885 eV |
| VBM |
-2.028 eV |
| CBM |
-2.024 eV |
| Work function |
4.909 eV |
| Direct gap |
No |
| Property |
Value |
| Band gap |
0.00 eV |
| E-fermi |
-2.025 eV |
| Vacuum level |
2.885 eV |
| VBM |
-2.028 eV |
| CBM |
-2.024 eV |
| Work function |
4.909 eV |
| Cij (N/m) |
xx |
yy |
xy |
| xx |
49.434 |
13.024 |
0.000 |
| yy |
13.024 |
49.434 |
-0.000 |
| xy |
0.000 |
-0.000 |
18.205 |
| Phonon mode at Γ point (THz) |
| -1.173 |
| -1.173 |
| -0.001 |
| -0.000 |
| -0.000 |
| 3.262 |
| 6.524 |
| 6.524 |
| 7.158 |
| 7.158 |
| 9.126 |
| 9.522 |
| Property |
Value |
| from where |
c2db-1631 |