Hf2S1
MatHub2d-678-Hf2S1
| Property |
Value |
| Space group |
(187, 'P-6m2') |
| Crystal system |
hexagonal |
| Magnetic |
Yes |
| Band gap (PBE) (eV) |
0.00 |
| Free energy (eV) |
-24.465 |
| Free energy / atom (eV) |
-8.155 |
Lattice Parameters (basic)
| a, b, c (Å): | 3.238 | 3.238 | 30.000 |
| α, β, γ (°): | 90.000 | 90.000 | 120.000 |
Lattice Parameters (computed)
| a, b, c (Å): | 3.231 | 3.231 | 30.000 |
| α, β, γ (°): | 90.000 | 90.000 | 120.000 |
| Property |
Value |
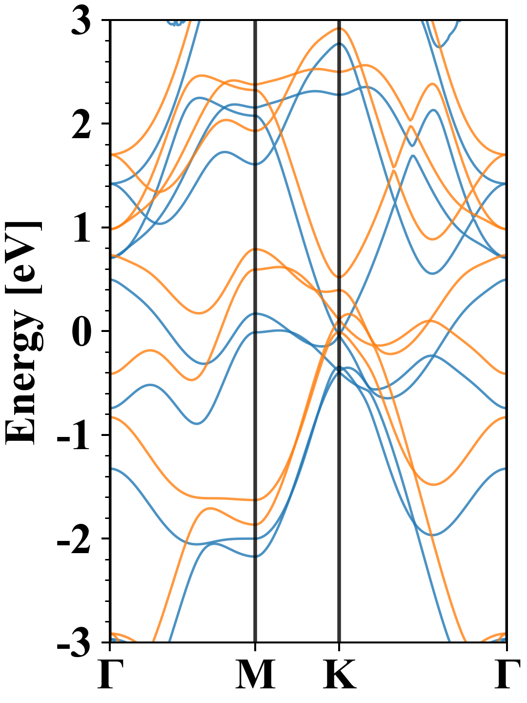
| Band gap |
0.00 eV |
| E-fermi |
-1.890 eV |
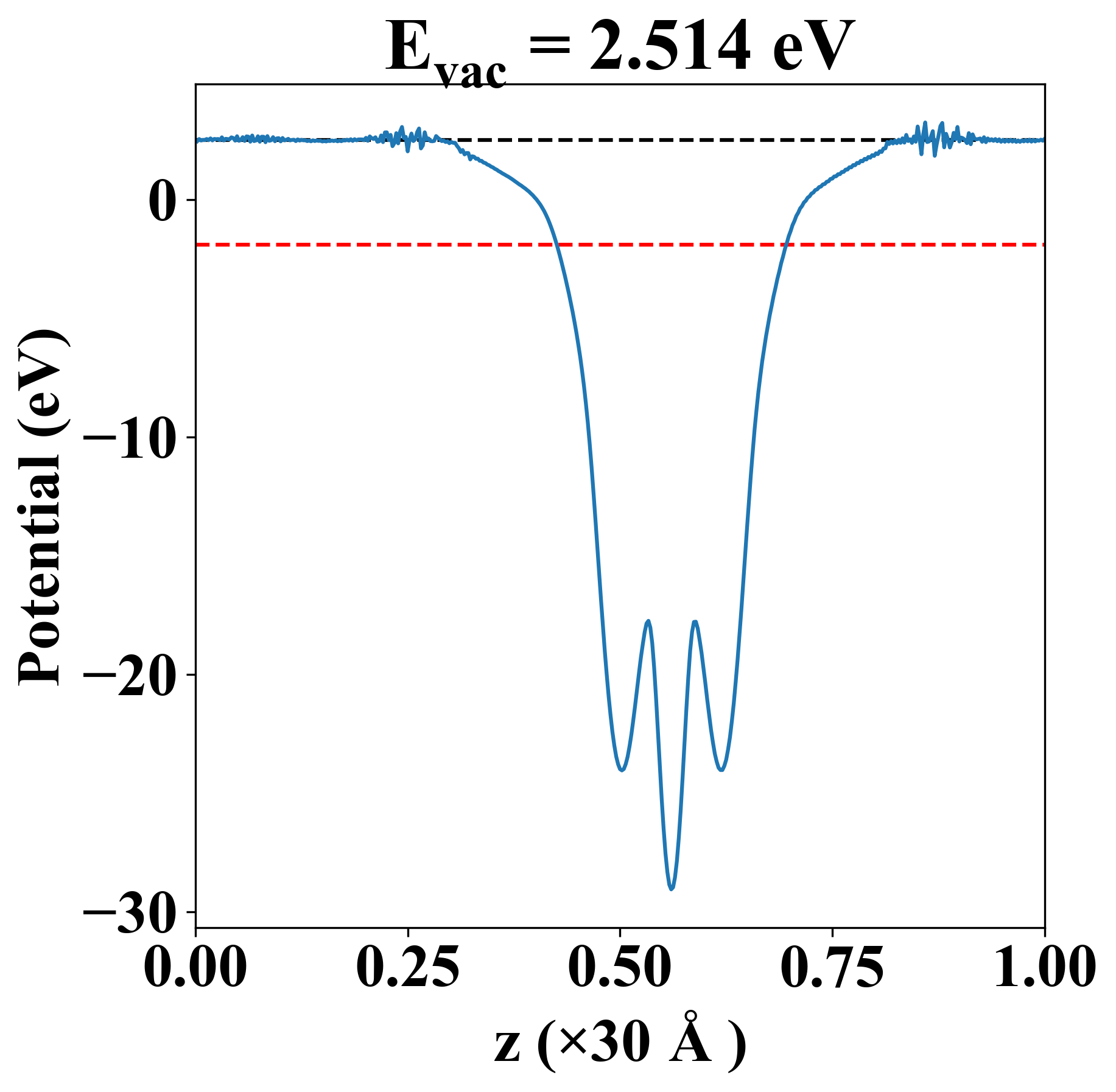
| Vacuum level |
2.514 eV |
| VBM |
-1.891 eV |
| CBM |
-1.890 eV |
| Work function |
4.404 eV |
| Direct gap |
No |
| Property |
Value |
| Band gap |
0.00 eV |
| E-fermi |
-1.890 eV |
| Vacuum level |
2.514 eV |
| VBM |
-1.891 eV |
| CBM |
-1.890 eV |
| Work function |
4.404 eV |
| Cij (N/m) |
xx |
yy |
xy |
| xx |
130.367 |
41.268 |
0.000 |
| yy |
41.268 |
130.367 |
0.000 |
| xy |
0.000 |
0.000 |
44.550 |
| Phonon mode at Γ point (THz) |
| -0.002 |
| -0.002 |
| -0.001 |
| 2.541 |
| 2.541 |
| 3.492 |
| 8.572 |
| 8.572 |
| 9.942 |
| Property |
Value |
| from where |
shu-27 |