Hf2O2
MatHub2d-677-Hf2O2
| Property |
Value |
| Space group |
(187, 'P-6m2') |
| Crystal system |
hexagonal |
| Magnetic |
|
| Band gap (PBE) (eV) |
0.00 |
| Free energy (eV) |
-38.436 |
| Free energy / atom (eV) |
-9.609 |
Lattice Parameters (basic)
| a, b, c (Å): | 3.367 | 3.367 | 30.000 |
| α, β, γ (°): | 90.000 | 90.000 | 120.000 |
Lattice Parameters (computed)
| a, b, c (Å): | 3.350 | 3.350 | 30.000 |
| α, β, γ (°): | 90.000 | 90.000 | 120.000 |
| Property |
Value |
| Band gap |
0.00 eV |
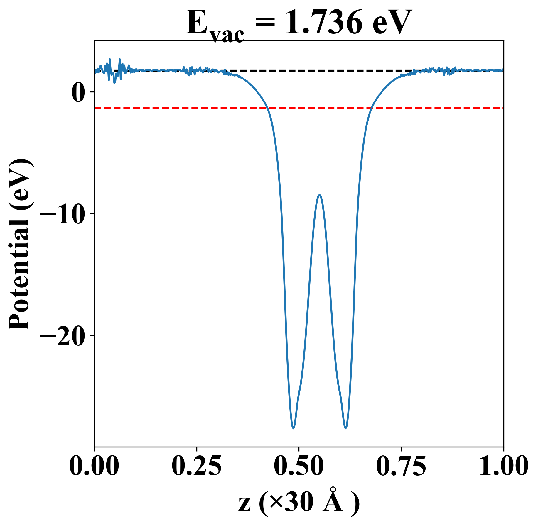
| E-fermi |
-1.357 eV |
| Vacuum level |
1.736 eV |
| VBM |
-1.357 eV |
| CBM |
-1.353 eV |
| Work function |
3.092 eV |
| Direct gap |
Yes |
| Property |
Value |
| Band gap |
0.00 eV |
| E-fermi |
-1.357 eV |
| Vacuum level |
1.736 eV |
| VBM |
-1.357 eV |
| CBM |
-1.353 eV |
| Work function |
3.092 eV |
| Cij (N/m) |
xx |
yy |
xy |
| xx |
147.647 |
60.208 |
0.000 |
| yy |
60.208 |
147.647 |
-0.000 |
| xy |
0.000 |
-0.000 |
43.719 |
| Phonon mode at Γ point (THz) |
| -1.535 |
| -1.535 |
| -0.004 |
| -0.000 |
| -0.000 |
| 4.289 |
| 11.747 |
| 11.747 |
| 12.254 |
| 12.254 |
| 12.258 |
| 12.459 |
| Property |
Value |
| from where |
c2db-1630 |