Hf2I6
MatHub2d-676-Hf2I6
| Property |
Value |
| Space group |
(189, 'P-62m') |
| Crystal system |
hexagonal |
| Magnetic |
Yes |
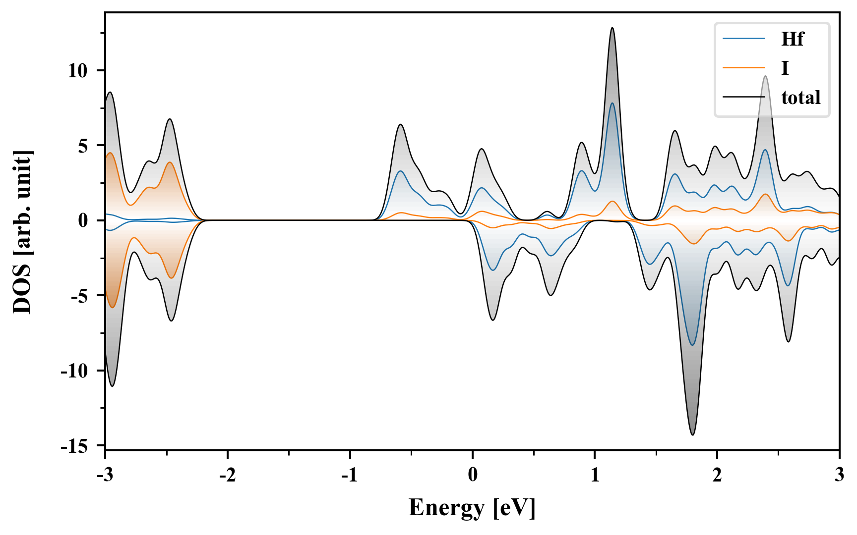
| Band gap (PBE) (eV) |
0.00 |
| Free energy (eV) |
-34.765 |
| Free energy / atom (eV) |
-4.346 |
Lattice Parameters (basic)
| a, b, c (Å): | 7.044 | 7.044 | 30.000 |
| α, β, γ (°): | 90.000 | 90.000 | 120.000 |
Lattice Parameters (computed)
| a, b, c (Å): | 7.027 | 7.027 | 30.000 |
| α, β, γ (°): | 90.000 | 90.000 | 120.000 |
| Property |
Value |
| Band gap |
0.00 eV |
| E-fermi |
-1.790 eV |
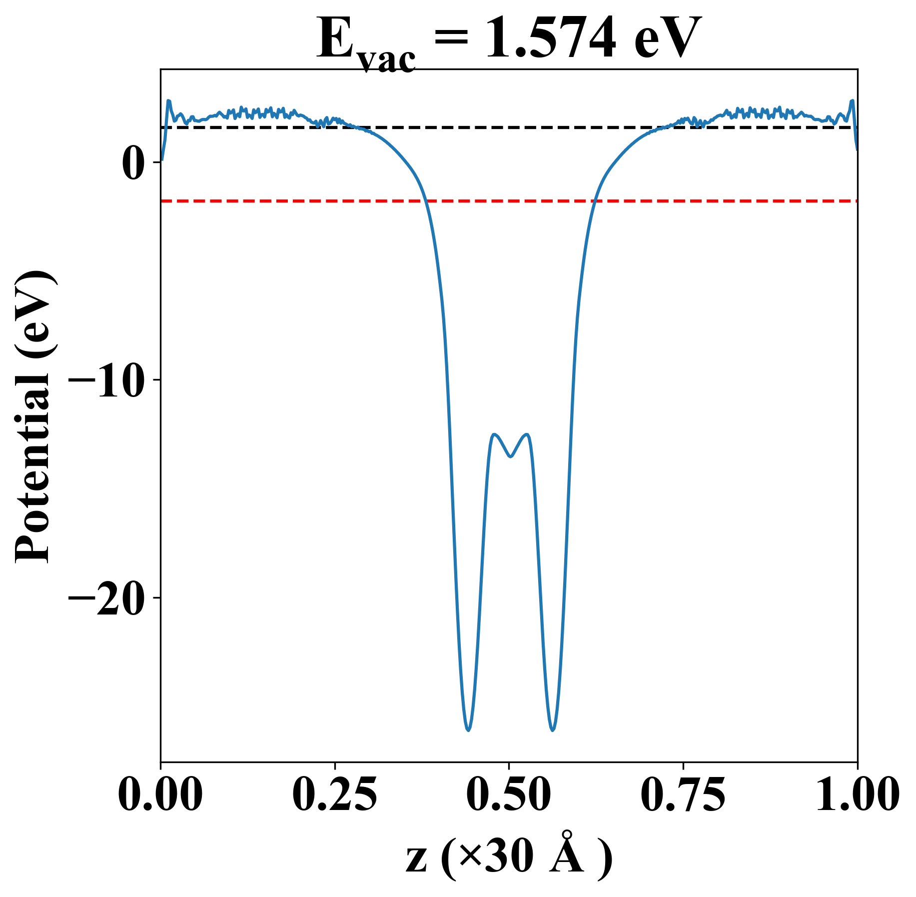
| Vacuum level |
1.574 eV |
| VBM |
-1.794 eV |
| CBM |
-1.789 eV |
| Work function |
3.364 eV |
| Direct gap |
No |
| Property |
Value |
| Band gap |
0.00 eV |
| E-fermi |
-1.790 eV |
| Vacuum level |
1.574 eV |
| VBM |
-1.794 eV |
| CBM |
-1.789 eV |
| Work function |
3.364 eV |
| Cij (N/m) |
xx |
yy |
xy |
| xx |
15.382 |
6.285 |
0.000 |
| yy |
6.285 |
15.382 |
-0.000 |
| xy |
0.000 |
-0.000 |
4.549 |
| Phonon mode at Γ point (THz) |
| -0.002 |
| -0.001 |
| -0.000 |
| 1.043 |
| 1.043 |
| 1.240 |
| 1.240 |
| 1.620 |
| 1.901 |
| 2.140 |
| 2.380 |
| 2.380 |
| 2.744 |
| 2.744 |
| 3.342 |
| 3.342 |
| 3.778 |
| 3.870 |
| 3.935 |
| 3.935 |
| 4.229 |
| 4.473 |
| 4.473 |
| 5.222 |
| Property |
Value |
| from where |
c2db-1262 |