Hf2I6
MatHub2d-675-Hf2I6
| Property |
Value |
| Space group |
(162, 'P-31m') |
| Crystal system |
hexagonal |
| Magnetic |
Yes |
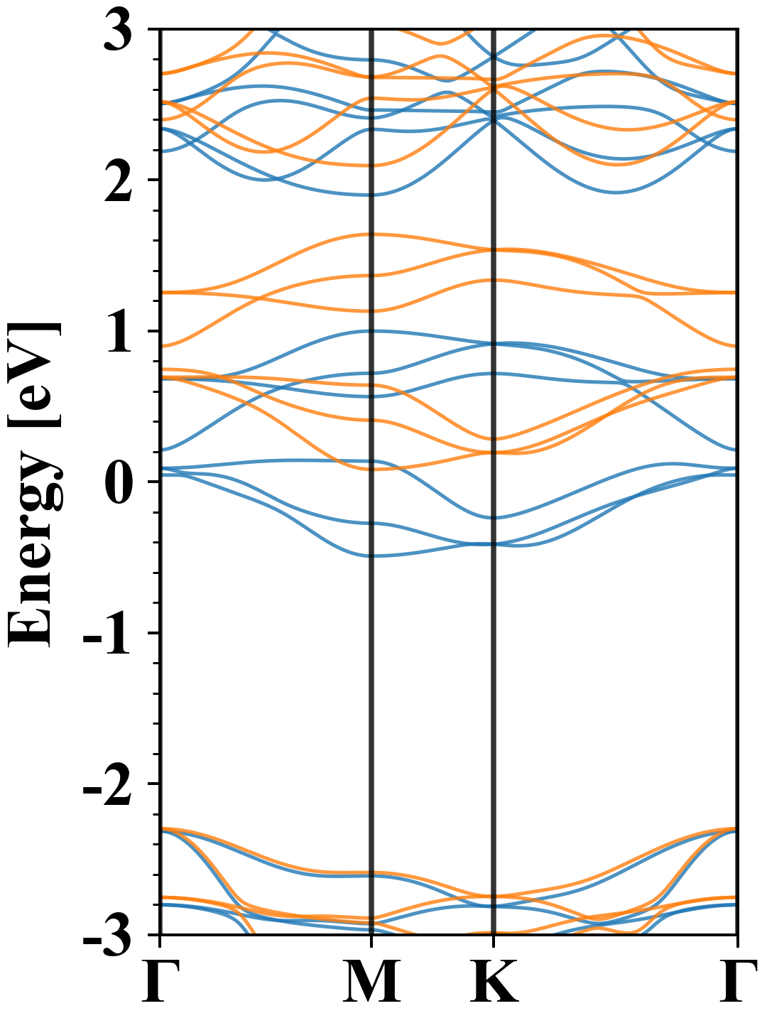
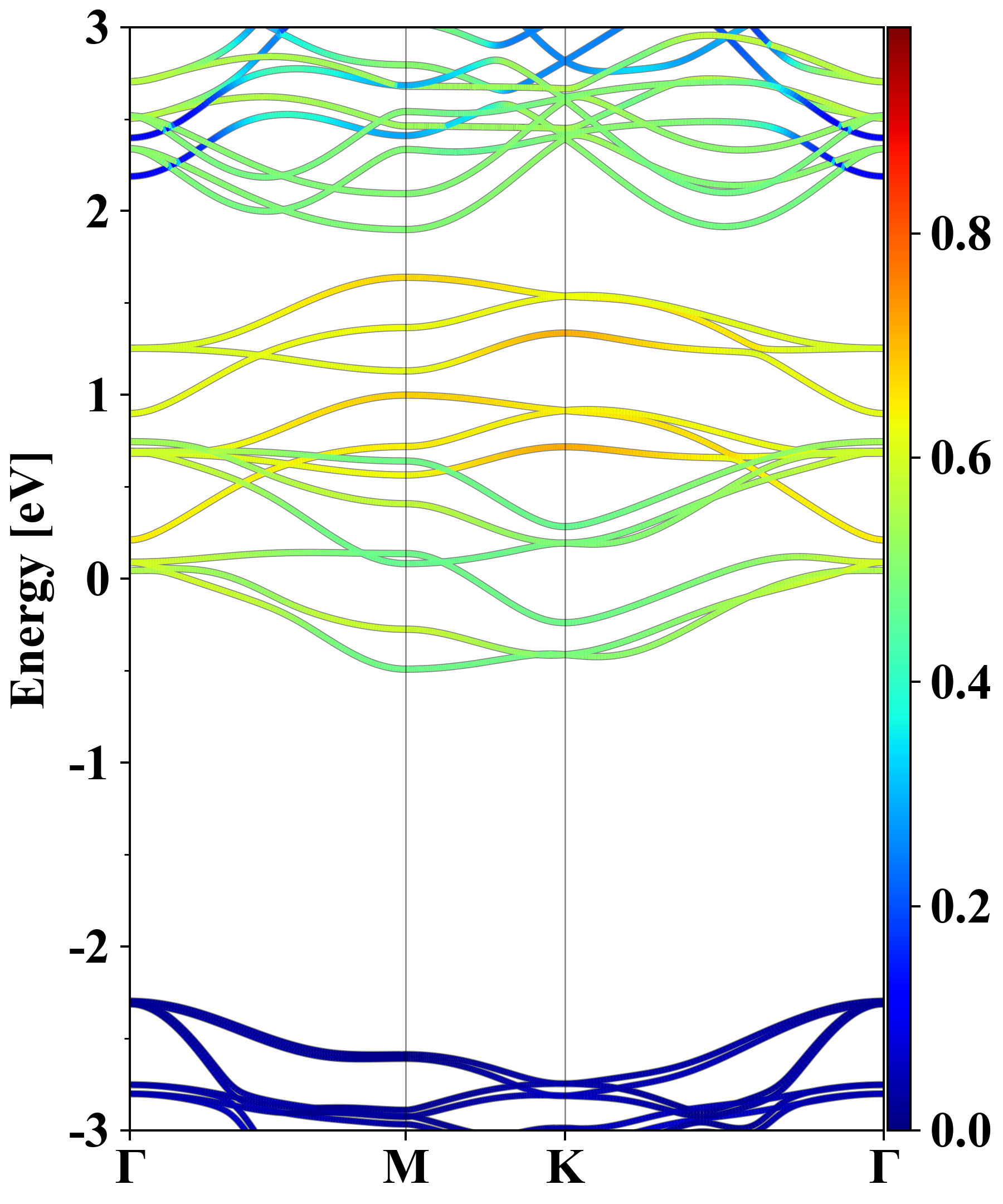
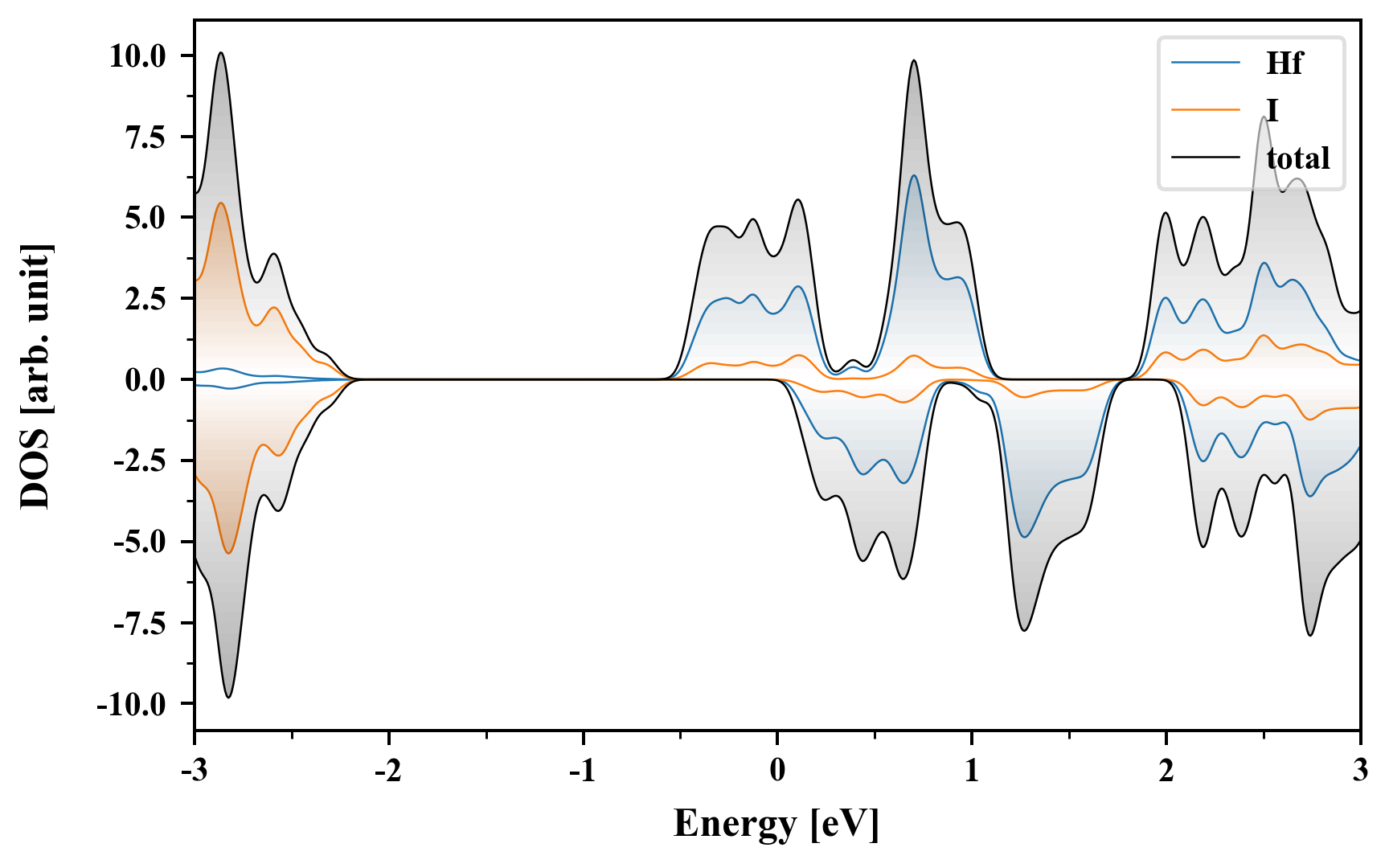
| Band gap (PBE) (eV) |
0.00 |
| Free energy (eV) |
-35.143 |
| Free energy / atom (eV) |
-4.393 |
Lattice Parameters (basic)
| a, b, c (Å): | 7.083 | 7.083 | 30.000 |
| α, β, γ (°): | 90.000 | 90.000 | 120.000 |
Lattice Parameters (computed)
| a, b, c (Å): | 7.067 | 7.067 | 30.000 |
| α, β, γ (°): | 90.000 | 90.000 | 120.000 |
| Property |
Value |
| Band gap |
0.00 eV |
| E-fermi |
-1.808 eV |
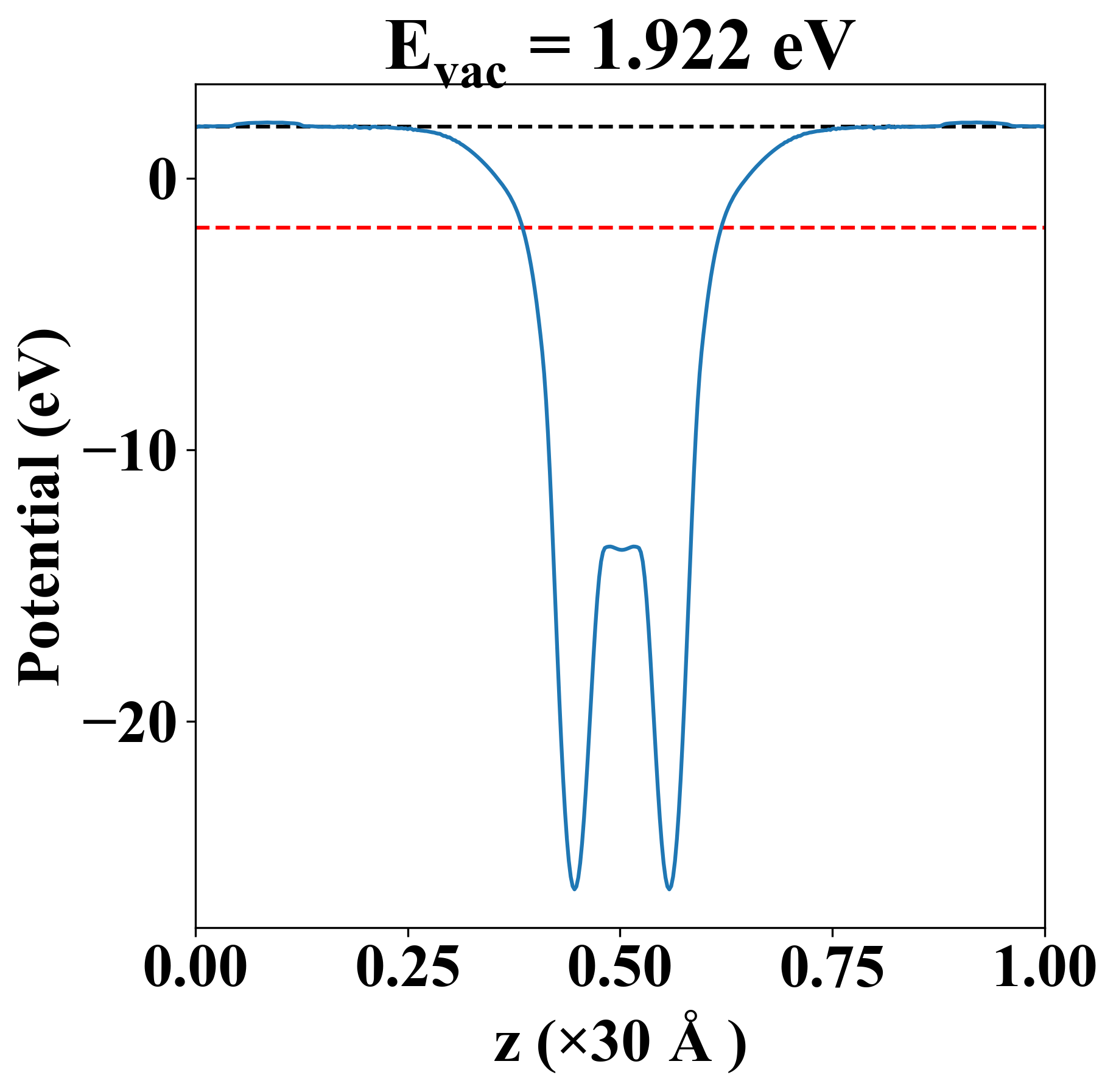
| Vacuum level |
1.922 eV |
| VBM |
-1.809 eV |
| CBM |
-1.807 eV |
| Work function |
3.730 eV |
| Direct gap |
No |
| Property |
Value |
| Band gap |
0.00 eV |
| E-fermi |
-1.808 eV |
| Vacuum level |
1.922 eV |
| VBM |
-1.809 eV |
| CBM |
-1.807 eV |
| Work function |
3.730 eV |
| Cij (N/m) |
xx |
yy |
xy |
| xx |
21.033 |
3.615 |
0.000 |
| yy |
3.615 |
21.033 |
-0.000 |
| xy |
0.000 |
-0.000 |
8.709 |
| Phonon mode at Γ point (THz) |
| -1.597 |
| -1.597 |
| -0.001 |
| -0.000 |
| 0.002 |
| 1.294 |
| 1.294 |
| 1.735 |
| 1.803 |
| 1.818 |
| 1.818 |
| 1.934 |
| 2.885 |
| 2.885 |
| 3.339 |
| 3.339 |
| 3.683 |
| 3.729 |
| 3.783 |
| 3.788 |
| 3.788 |
| 3.972 |
| 3.972 |
| 4.984 |
| Property |
Value |
| from where |
c2db-1140 |