Hf2I2N2
MatHub2d-674-Hf2I2N2
| Property |
Value |
| Space group |
(164, 'P-3m1') |
| Crystal system |
hexagonal |
| Magnetic |
No |
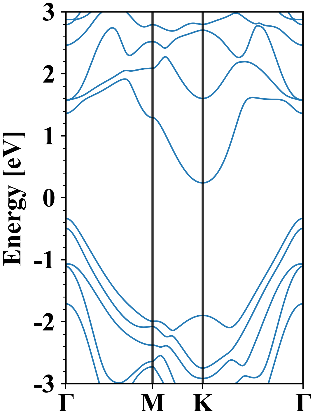
| Band gap (PBE) (eV) |
0.99 |
| Free energy (eV) |
-48.047 |
| Free energy / atom (eV) |
-8.008 |
Lattice Parameters (basic)
| a, b, c (Å): | 3.698 | 3.698 | 30.000 |
| α, β, γ (°): | 90.000 | 90.000 | 120.000 |
Lattice Parameters (computed)
| a, b, c (Å): | 3.704 | 3.704 | 30.000 |
| α, β, γ (°): | 90.000 | 90.000 | 120.000 |
| Property |
Value |
| Band gap |
0.99 eV |
| E-fermi |
-1.123 eV |
| Vacuum level |
3.563 eV |
| VBM |
-1.455 eV |
| CBM |
-0.465 eV |
| Work function |
4.686 eV |
| Direct gap |
No |
| Property |
Value |
| Band gap |
0.57 eV |
| E-fermi |
-0.729 eV |
| VBM |
-1.061 eV |
| CBM |
-0.489 eV |
| Free energy (eV) |
-49.600 |
| Free energy / atom (eV) |
-8.267 |
| Property |
Value |
| Band gap |
0.99 eV |
| E-fermi |
-1.123 eV |
| Vacuum level |
3.563 eV |
| VBM |
-1.455 eV |
| CBM |
-0.465 eV |
| Work function |
4.686 eV |
| Cij (N/m) |
xx |
yy |
xy |
| xx |
169.692 |
63.552 |
-0.000 |
| yy |
63.552 |
169.692 |
0.000 |
| xy |
-0.000 |
0.000 |
53.070 |
| Phonon mode at Γ point (THz) |
| -0.004 |
| -0.004 |
| -0.001 |
| 1.782 |
| 1.782 |
| 2.514 |
| 2.514 |
| 3.050 |
| 3.577 |
| 3.577 |
| 4.492 |
| 6.150 |
| 13.409 |
| 13.409 |
| 15.954 |
| 15.954 |
| 17.373 |
| 19.006 |
| Property |
Value |
| from where |
JVASP-27774 |