Hf1Te2
MatHub2d-673-Hf1Te2
| Property |
Value |
| Space group |
(187, 'P-6m2') |
| Crystal system |
hexagonal |
| Magnetic |
No |
| Band gap (PBE) (eV) |
0.39 |
| Free energy (eV) |
-18.290 |
| Free energy / atom (eV) |
-6.097 |
Lattice Parameters (basic)
| a, b, c (Å): | 3.909 | 3.909 | 30.000 |
| α, β, γ (°): | 90.000 | 90.000 | 120.000 |
Lattice Parameters (computed)
| a, b, c (Å): | 3.911 | 3.911 | 30.000 |
| α, β, γ (°): | 90.000 | 90.000 | 120.000 |
| Property |
Value |
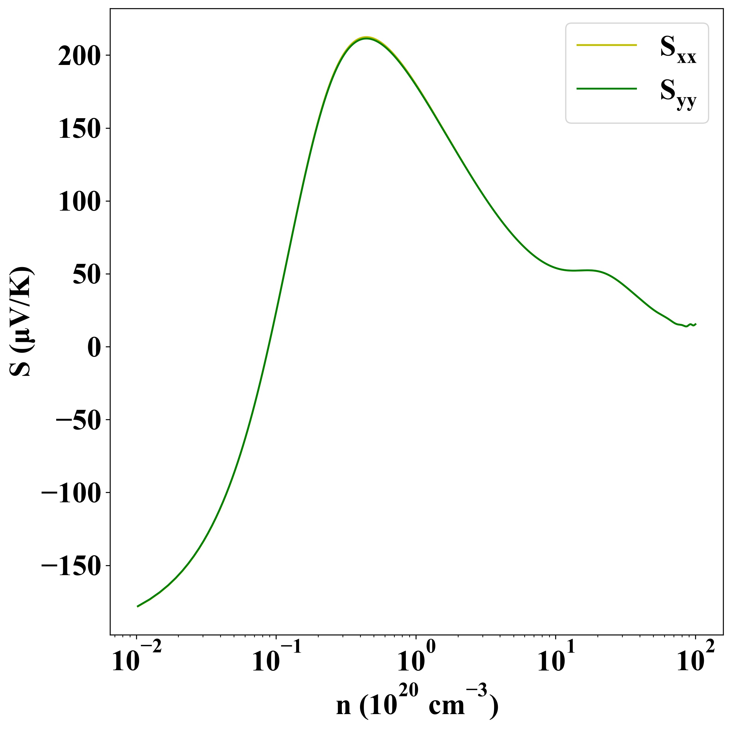
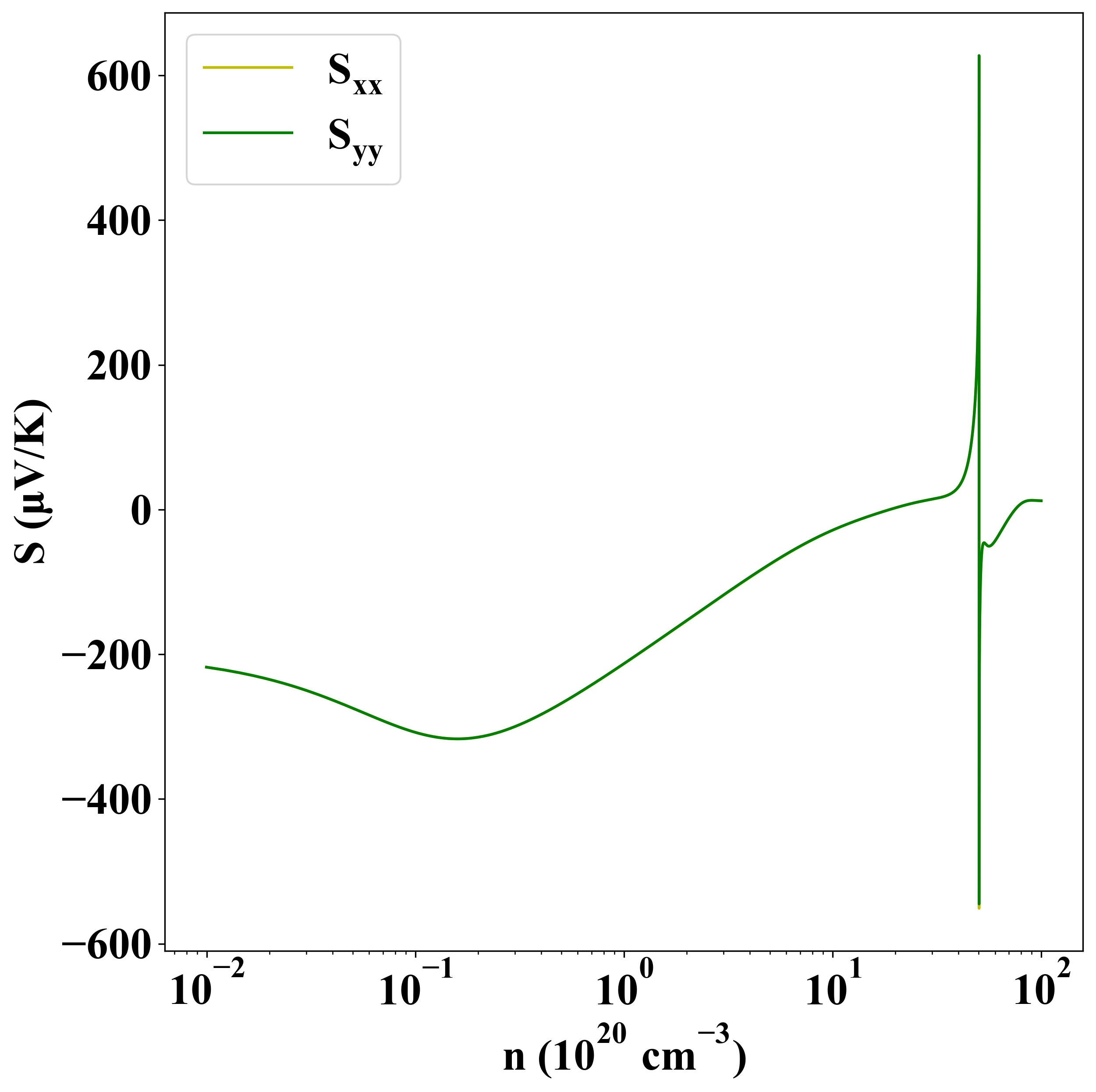
| Band gap |
0.39 eV |
| E-fermi |
-2.798 eV |
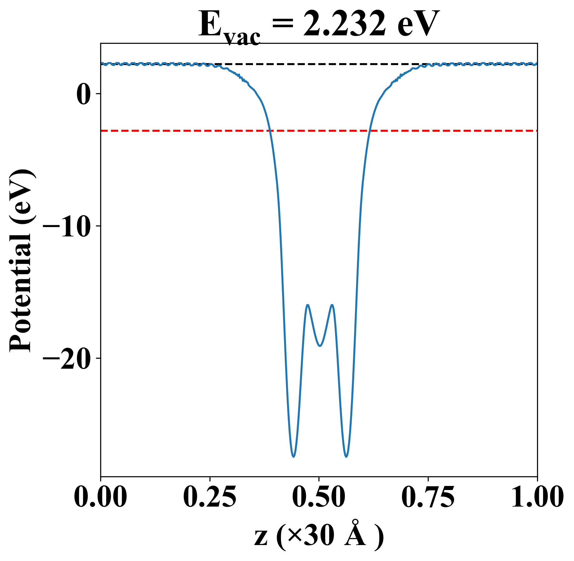
| Vacuum level |
2.232 eV |
| VBM |
-2.995 eV |
| CBM |
-2.602 eV |
| Work function |
5.030 eV |
| Direct gap |
No |
| Property |
Value |
| Band gap |
0.16 eV |
| E-fermi |
-2.787 eV |
| VBM |
-2.864 eV |
| CBM |
-2.705 eV |
| Free energy (eV) |
-19.187 |
| Free energy / atom (eV) |
-6.396 |
| Property |
Value |
| Band gap |
0.39 eV |
| E-fermi |
-2.798 eV |
| Vacuum level |
2.232 eV |
| VBM |
-2.995 eV |
| CBM |
-2.602 eV |
| Work function |
5.030 eV |
| Cij (N/m) |
xx |
yy |
xy |
| xx |
56.245 |
19.525 |
0.000 |
| yy |
19.525 |
56.245 |
-0.000 |
| xy |
0.000 |
-0.000 |
18.360 |
| Phonon mode at Γ point (THz) |
| -0.001 |
| -0.001 |
| -0.001 |
| 1.693 |
| 1.693 |
| 3.579 |
| 3.579 |
| 4.598 |
| 5.303 |
| Property |
Value |
| from where |
c2db-500 |