Hf1Se2
MatHub2d-671-Hf1Se2
| Property |
Value |
| Space group |
(187, 'P-6m2') |
| Crystal system |
hexagonal |
| Magnetic |
No |
| Band gap (PBE) (eV) |
0.89 |
| Free energy (eV) |
-20.449 |
| Free energy / atom (eV) |
-6.816 |
Lattice Parameters (basic)
| a, b, c (Å): | 3.677 | 3.677 | 30.000 |
| α, β, γ (°): | 90.000 | 90.000 | 120.000 |
Lattice Parameters (computed)
| a, b, c (Å): | 3.672 | 3.672 | 30.000 |
| α, β, γ (°): | 90.000 | 90.000 | 120.000 |
| Property |
Value |
| Band gap |
0.89 eV |
| E-fermi |
-4.187 eV |
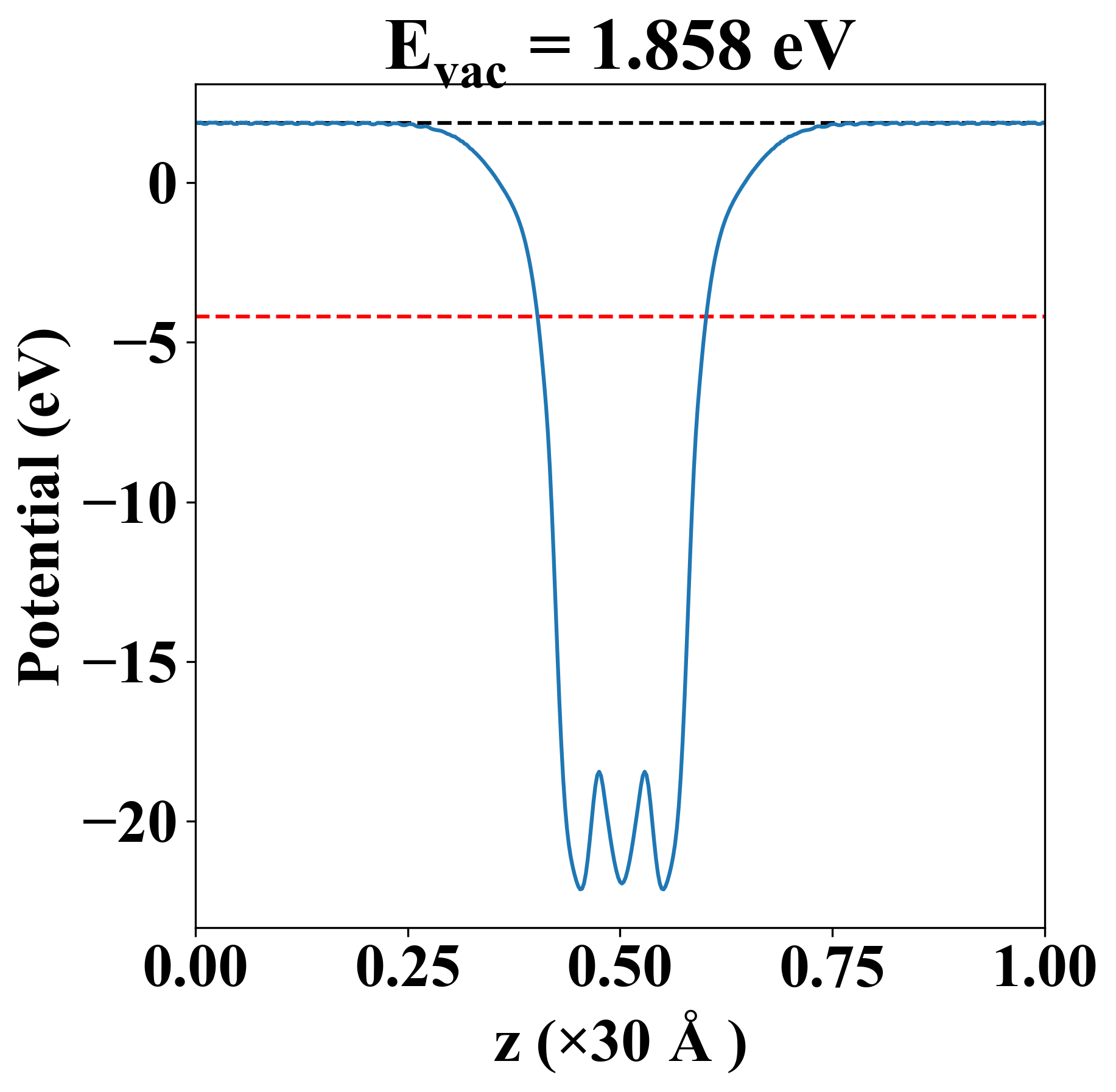
| Vacuum level |
1.858 eV |
| VBM |
-4.448 eV |
| CBM |
-3.557 eV |
| Work function |
6.044 eV |
| Direct gap |
No |
| Property |
Value |
| Band gap |
0.83 eV |
| E-fermi |
-4.153 eV |
| VBM |
-4.387 eV |
| CBM |
-3.559 eV |
| Free energy (eV) |
-21.168 |
| Free energy / atom (eV) |
-7.056 |
| Property |
Value |
| Band gap |
0.89 eV |
| E-fermi |
-4.187 eV |
| Vacuum level |
1.858 eV |
| VBM |
-4.448 eV |
| CBM |
-3.557 eV |
| Work function |
6.044 eV |
| Cij (N/m) |
xx |
yy |
xy |
| xx |
78.730 |
27.731 |
0.000 |
| yy |
27.731 |
78.730 |
-0.000 |
| xy |
0.000 |
-0.000 |
25.500 |
| Phonon mode at Γ point (THz) |
| -0.001 |
| 0.001 |
| 0.001 |
| 1.950 |
| 1.950 |
| 4.691 |
| 4.691 |
| 6.498 |
| 6.680 |
| Property |
Value |
| from where |
c2db-498 |