Hf1Se2
MatHub2d-670-Hf1Se2
| Property |
Value |
| Space group |
(164, 'P-3m1') |
| Crystal system |
hexagonal |
| Magnetic |
No |
| Band gap (PBE) (eV) |
0.64 |
| Free energy (eV) |
-20.973 |
| Free energy / atom (eV) |
-6.991 |
Lattice Parameters (basic)
| a, b, c (Å): | 3.767 | 3.767 | 30.000 |
| α, β, γ (°): | 90.000 | 90.000 | 120.000 |
Lattice Parameters (computed)
| a, b, c (Å): | 3.769 | 3.769 | 30.000 |
| α, β, γ (°): | 90.000 | 90.000 | 120.000 |
| Property |
Value |
| Band gap |
0.64 eV |
| E-fermi |
-3.571 eV |
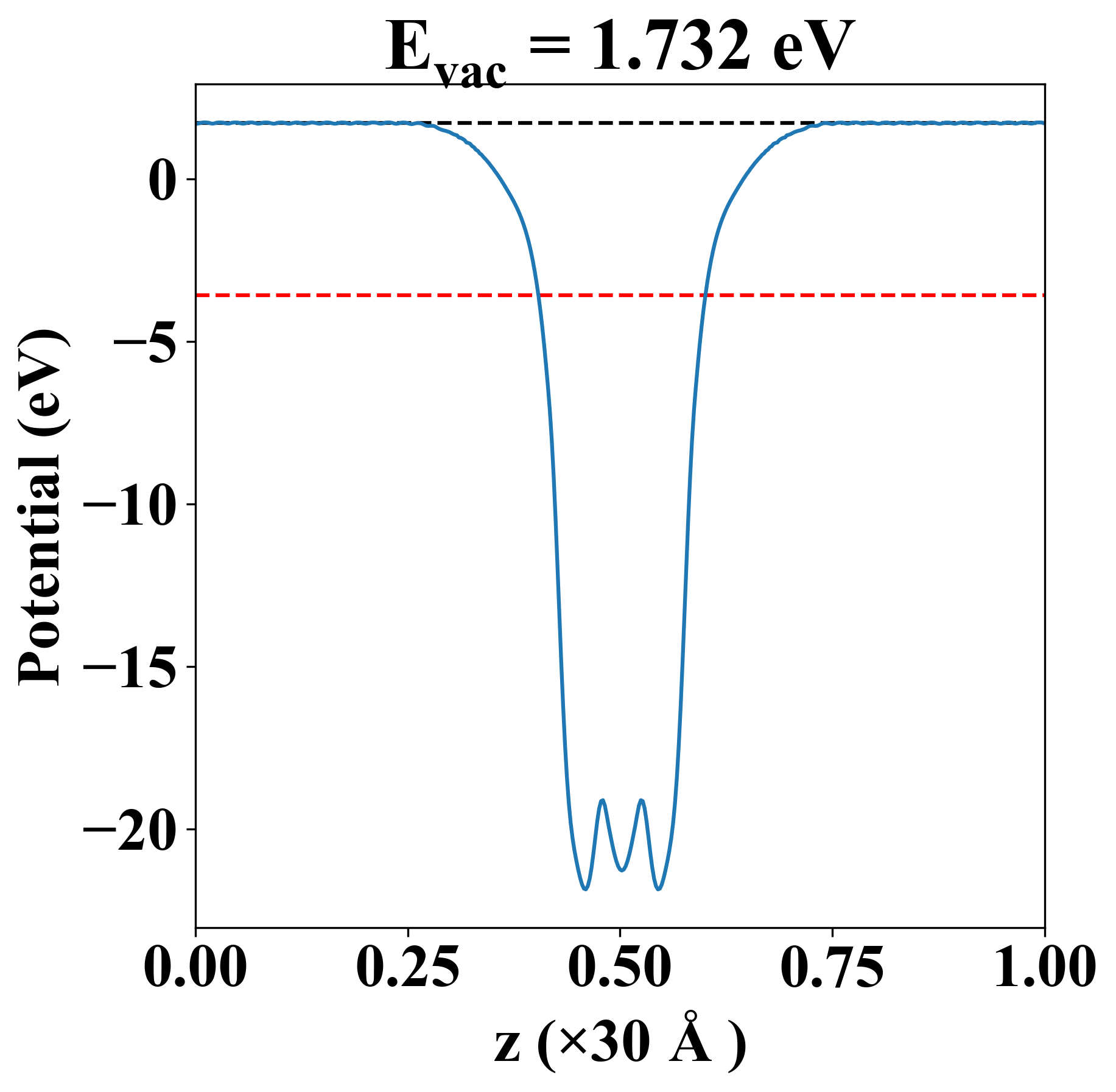
| Vacuum level |
1.732 eV |
| VBM |
-3.780 eV |
| CBM |
-3.136 eV |
| Work function |
5.303 eV |
| Direct gap |
No |
| Property |
Value |
| Band gap |
0.45 eV |
| E-fermi |
-3.390 eV |
| VBM |
-3.630 eV |
| CBM |
-3.178 eV |
| Free energy (eV) |
-21.676 |
| Free energy / atom (eV) |
-7.225 |
| Property |
Value |
| Band gap |
0.64 eV |
| E-fermi |
-3.571 eV |
| Vacuum level |
1.732 eV |
| VBM |
-3.780 eV |
| CBM |
-3.136 eV |
| Work function |
5.303 eV |
| Cij (N/m) |
xx |
yy |
xy |
| xx |
68.773 |
13.437 |
0.000 |
| yy |
13.437 |
68.773 |
0.000 |
| xy |
0.000 |
0.000 |
27.668 |
| Phonon mode at Γ point (THz) |
| -0.001 |
| -0.001 |
| -0.001 |
| 2.751 |
| 2.751 |
| 4.313 |
| 4.313 |
| 5.698 |
| 6.576 |
| Property |
Value |
| from where |
shu-29 |