Hf1S2
MatHub2d-669-Hf1S2
| Property |
Value |
| Space group |
(187, 'P-6m2') |
| Crystal system |
hexagonal |
| Magnetic |
No |
| Band gap (PBE) (eV) |
1.10 |
| Free energy (eV) |
-22.271 |
| Free energy / atom (eV) |
-7.424 |
Lattice Parameters (basic)
| a, b, c (Å): | 3.543 | 3.543 | 30.000 |
| α, β, γ (°): | 90.000 | 90.000 | 120.000 |
Lattice Parameters (computed)
| a, b, c (Å): | 3.534 | 3.534 | 30.000 |
| α, β, γ (°): | 90.000 | 90.000 | 120.000 |
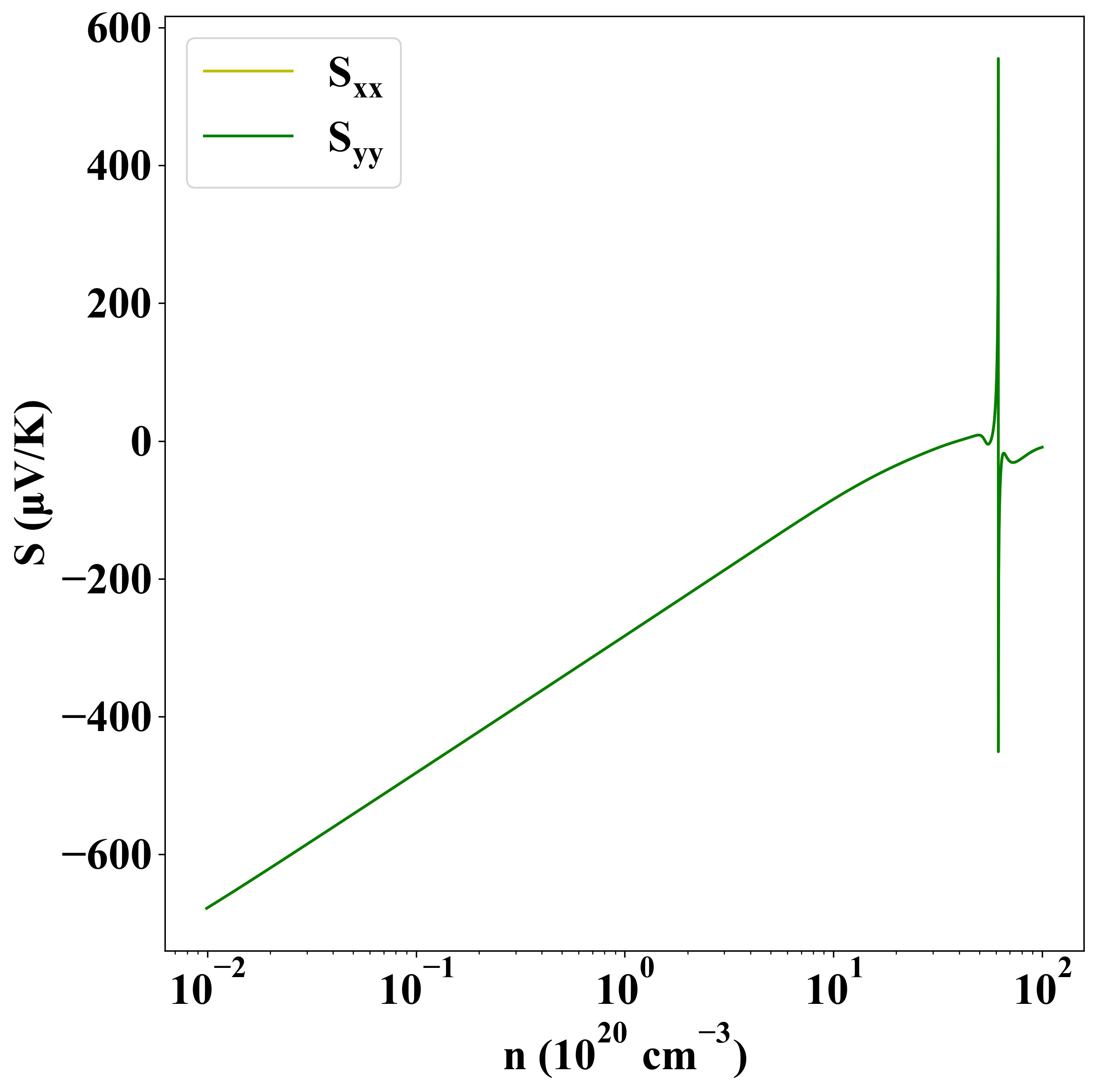
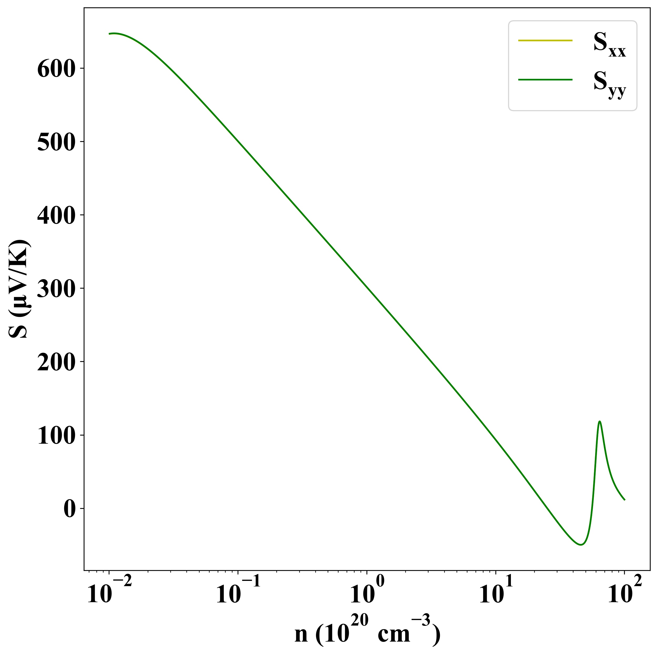
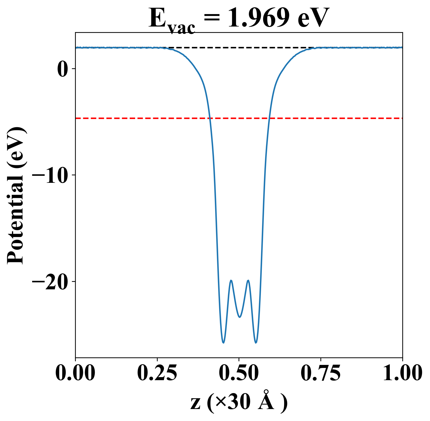
| Property |
Value |
| Band gap |
1.10 eV |
| E-fermi |
-4.681 eV |
| Vacuum level |
1.969 eV |
| VBM |
-4.901 eV |
| CBM |
-3.803 eV |
| Work function |
6.650 eV |
| Direct gap |
No |
| Property |
Value |
| Band gap |
1.08 eV |
| E-fermi |
-4.579 eV |
| VBM |
-4.877 eV |
| CBM |
-3.798 eV |
| Free energy (eV) |
-22.932 |
| Free energy / atom (eV) |
-7.644 |
| Property |
Value |
| Band gap |
1.10 eV |
| E-fermi |
-4.681 eV |
| Vacuum level |
1.969 eV |
| VBM |
-4.901 eV |
| CBM |
-3.803 eV |
| Work function |
6.650 eV |
| Cij (N/m) |
xx |
yy |
xy |
| xx |
92.970 |
33.754 |
0.000 |
| yy |
33.754 |
92.970 |
-0.000 |
| xy |
0.000 |
-0.000 |
29.608 |
| Phonon mode at Γ point (THz) |
| -0.001 |
| -0.001 |
| -0.001 |
| 2.946 |
| 2.946 |
| 6.892 |
| 6.892 |
| 9.672 |
| 10.967 |
| Property |
Value |
| from where |
c2db-496 |