Hf1S2
MatHub2d-668-Hf1S2
| Property |
Value |
| Space group |
(164, 'P-3m1') |
| Crystal system |
hexagonal |
| Magnetic |
No |
| Band gap (PBE) (eV) |
1.35 |
| Free energy (eV) |
-22.927 |
| Free energy / atom (eV) |
-7.642 |
Lattice Parameters (basic)
| a, b, c (Å): | 3.643 | 3.643 | 30.000 |
| α, β, γ (°): | 90.000 | 90.000 | 120.000 |
Lattice Parameters (computed)
| a, b, c (Å): | 3.643 | 3.643 | 30.000 |
| α, β, γ (°): | 90.000 | 90.000 | 120.000 |
| Property |
Value |
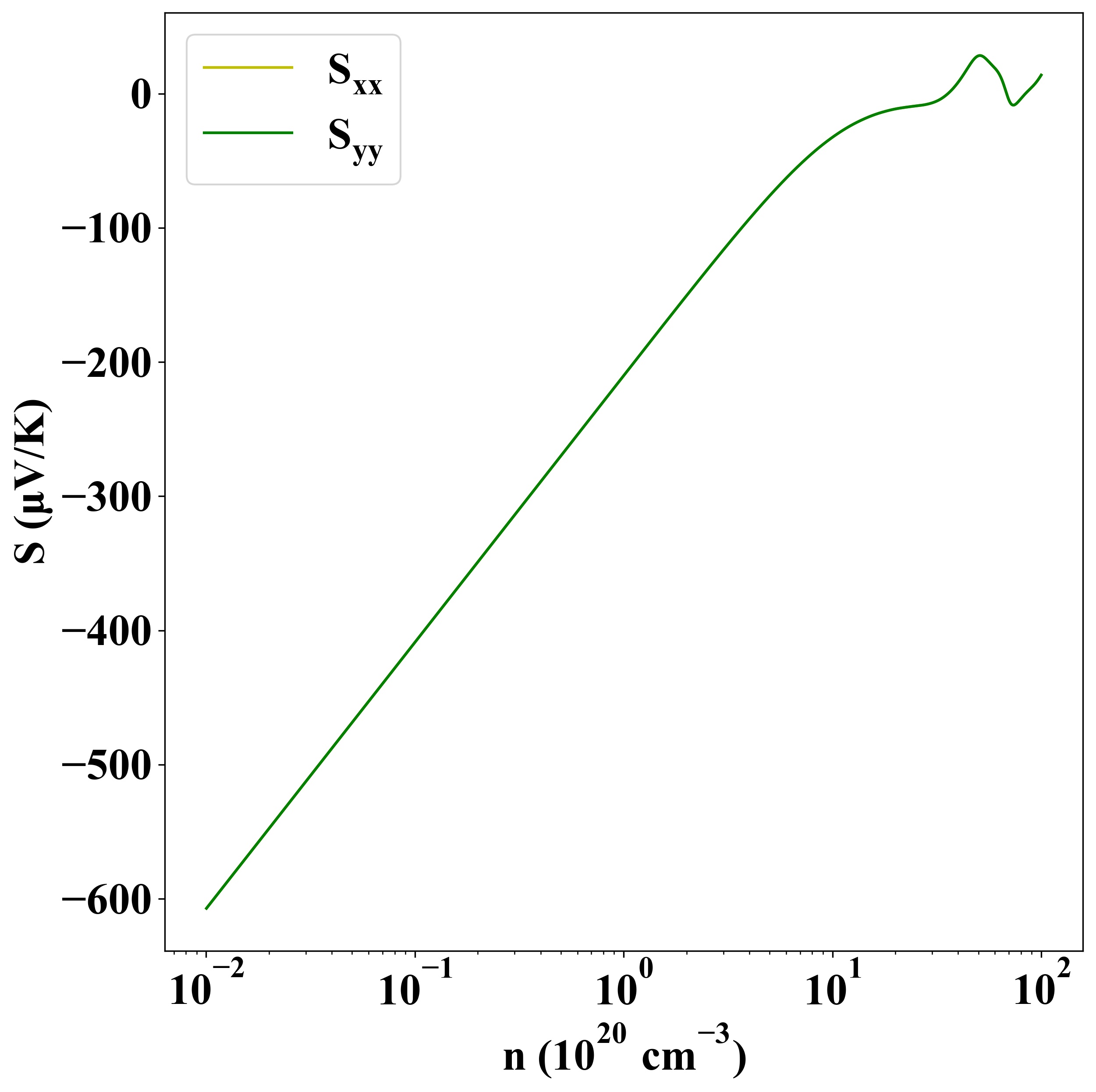
| Band gap |
1.35 eV |
| E-fermi |
-4.191 eV |
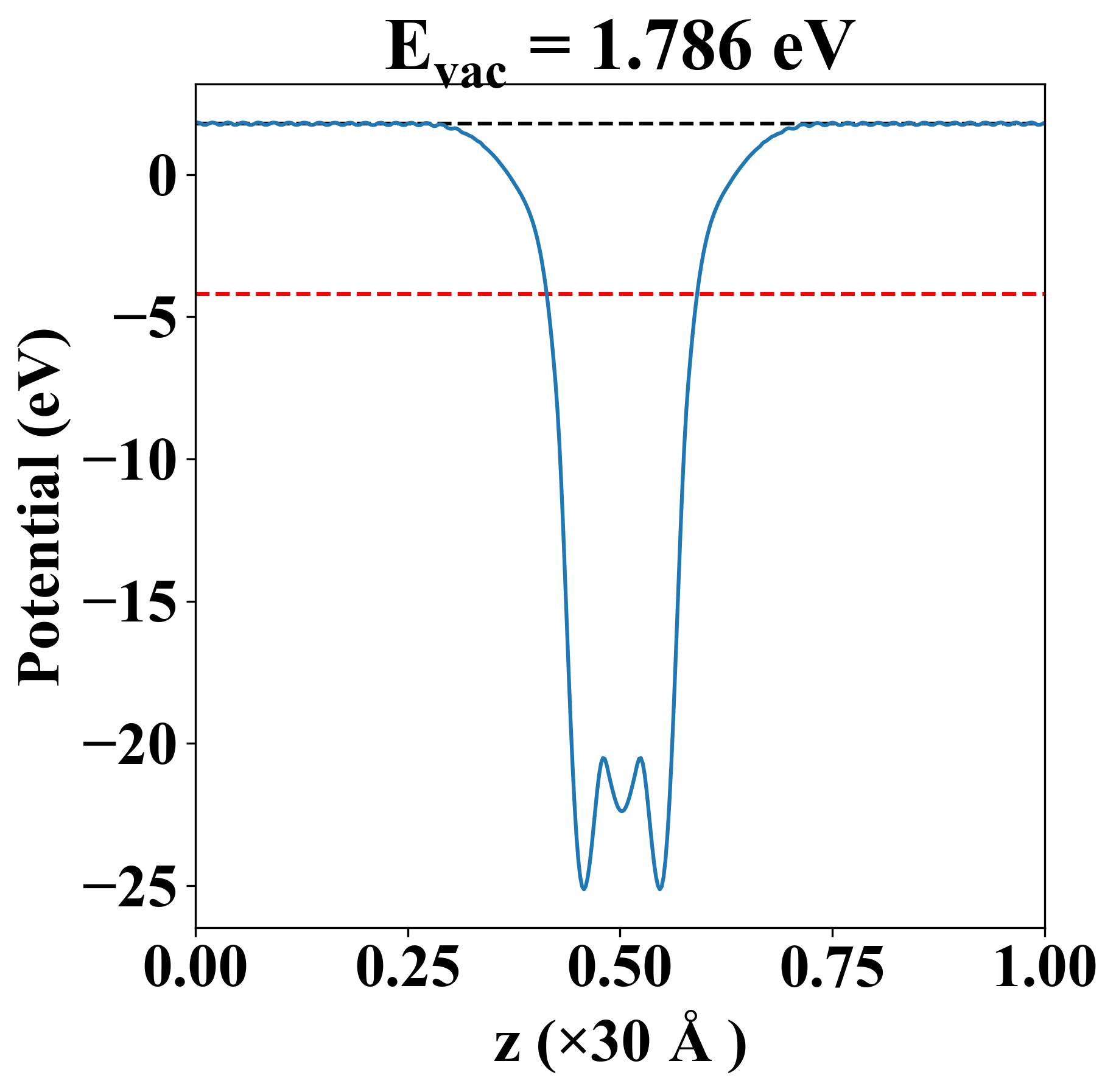
| Vacuum level |
1.786 eV |
| VBM |
-4.512 eV |
| CBM |
-3.158 eV |
| Work function |
5.977 eV |
| Direct gap |
No |
| Property |
Value |
| Band gap |
1.35 eV |
| E-fermi |
-4.191 eV |
| Vacuum level |
1.786 eV |
| VBM |
-4.512 eV |
| CBM |
-3.158 eV |
| Work function |
5.977 eV |
| Cij (N/m) |
xx |
yy |
xy |
| xx |
81.099 |
14.975 |
-0.000 |
| yy |
14.975 |
81.099 |
0.000 |
| xy |
-0.000 |
0.000 |
33.062 |
| Phonon mode at Γ point (THz) |
| -0.001 |
| 0.001 |
| 0.001 |
| 4.306 |
| 4.306 |
| 7.549 |
| 7.549 |
| 9.432 |
| 9.483 |
| Property |
Value |
| from where |
shu-28 |