Hf1S1Se1
MatHub2d-667-Hf1S1Se1
| Property |
Value |
| Space group |
(156, 'P3m1') |
| Crystal system |
hexagonal |
| Magnetic |
No |
| Band gap (PBE) (eV) |
0.98 |
| Free energy (eV) |
-21.367 |
| Free energy / atom (eV) |
-7.122 |
Lattice Parameters (basic)
| a, b, c (Å): | 3.610 | 3.610 | 30.000 |
| α, β, γ (°): | 90.000 | 90.000 | 120.000 |
Lattice Parameters (computed)
| a, b, c (Å): | 3.603 | 3.603 | 30.000 |
| α, β, γ (°): | 90.000 | 90.000 | 120.000 |
| Property |
Value |
| Band gap |
0.98 eV |
| E-fermi |
-4.315 eV |
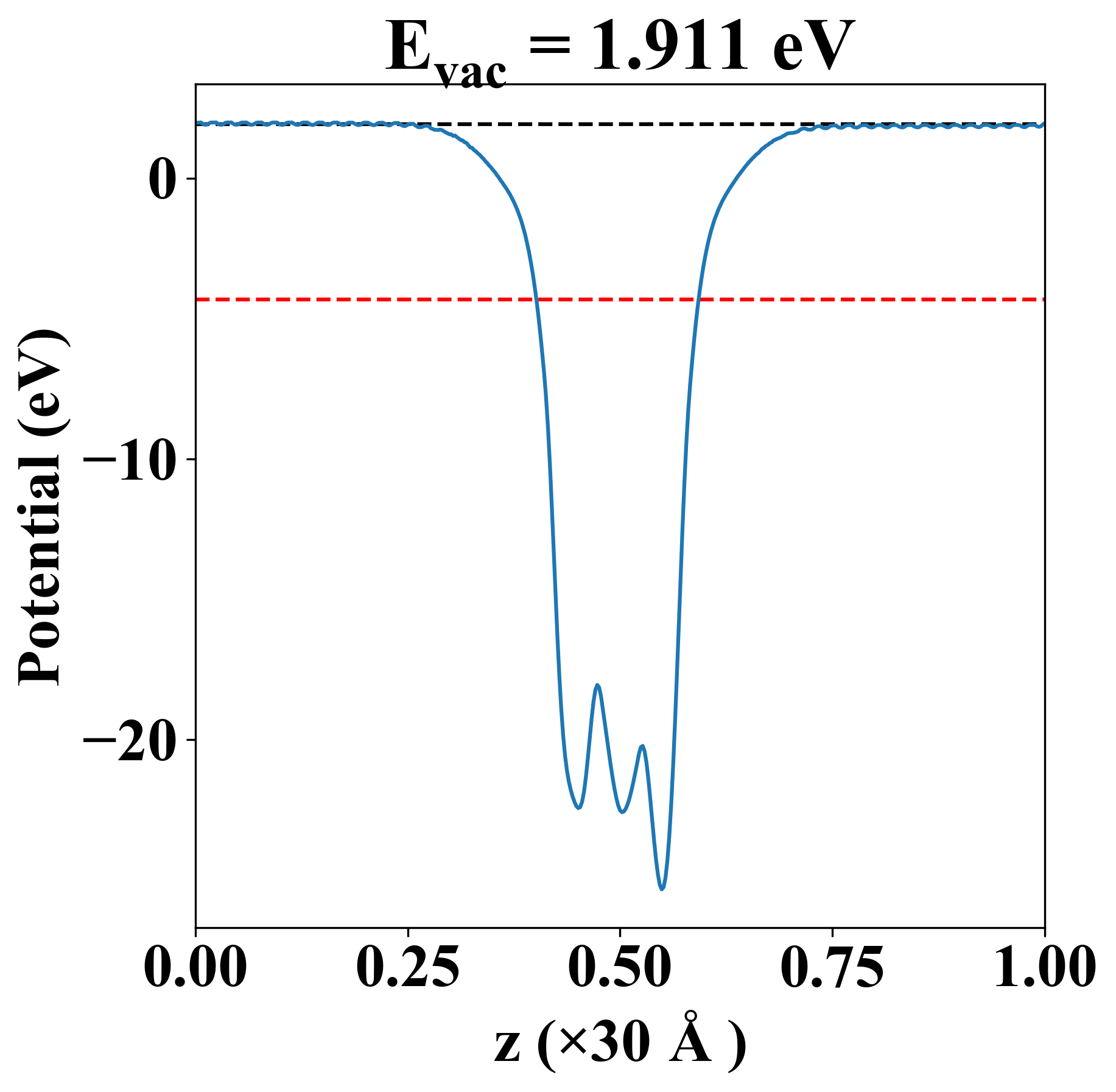
| Vacuum level |
1.911 eV |
| VBM |
-4.590 eV |
| CBM |
-3.611 eV |
| Work function |
6.226 eV |
| Direct gap |
No |
| Property |
Value |
| Band gap |
0.90 eV |
| E-fermi |
-4.192 eV |
| VBM |
-4.540 eV |
| CBM |
-3.643 eV |
| Free energy (eV) |
-22.056 |
| Free energy / atom (eV) |
-7.352 |
| Property |
Value |
| Band gap |
0.98 eV |
| E-fermi |
-4.315 eV |
| Vacuum level |
1.911 eV |
| VBM |
-4.590 eV |
| CBM |
-3.611 eV |
| Work function |
6.226 eV |
| Cij (N/m) |
xx |
yy |
xy |
| xx |
85.381 |
30.436 |
0.000 |
| yy |
30.436 |
85.381 |
-0.000 |
| xy |
0.000 |
-0.000 |
27.472 |
| Phonon mode at Γ point (THz) |
| -0.003 |
| -0.003 |
| -0.001 |
| 2.345 |
| 2.345 |
| 6.194 |
| 6.194 |
| 6.918 |
| 9.749 |
| Property |
Value |
| from where |
c2db-1457 |