Hf1O2
MatHub2d-666-Hf1O2
| Property |
Value |
| Space group |
(187, 'P-6m2') |
| Crystal system |
hexagonal |
| Magnetic |
No |
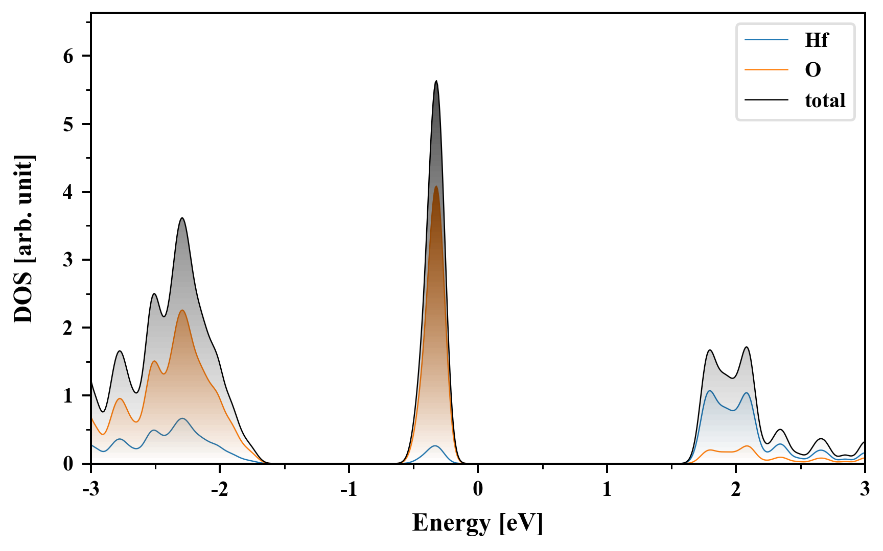
| Band gap (PBE) (eV) |
1.99 |
| Free energy (eV) |
-28.141 |
| Free energy / atom (eV) |
-9.380 |
Lattice Parameters (basic)
| a, b, c (Å): | 3.122 | 3.122 | 30.000 |
| α, β, γ (°): | 90.000 | 90.000 | 120.000 |
Lattice Parameters (computed)
| a, b, c (Å): | 3.107 | 3.107 | 30.000 |
| α, β, γ (°): | 90.000 | 90.000 | 120.000 |
| Property |
Value |
| Band gap |
1.99 eV |
| E-fermi |
-6.281 eV |
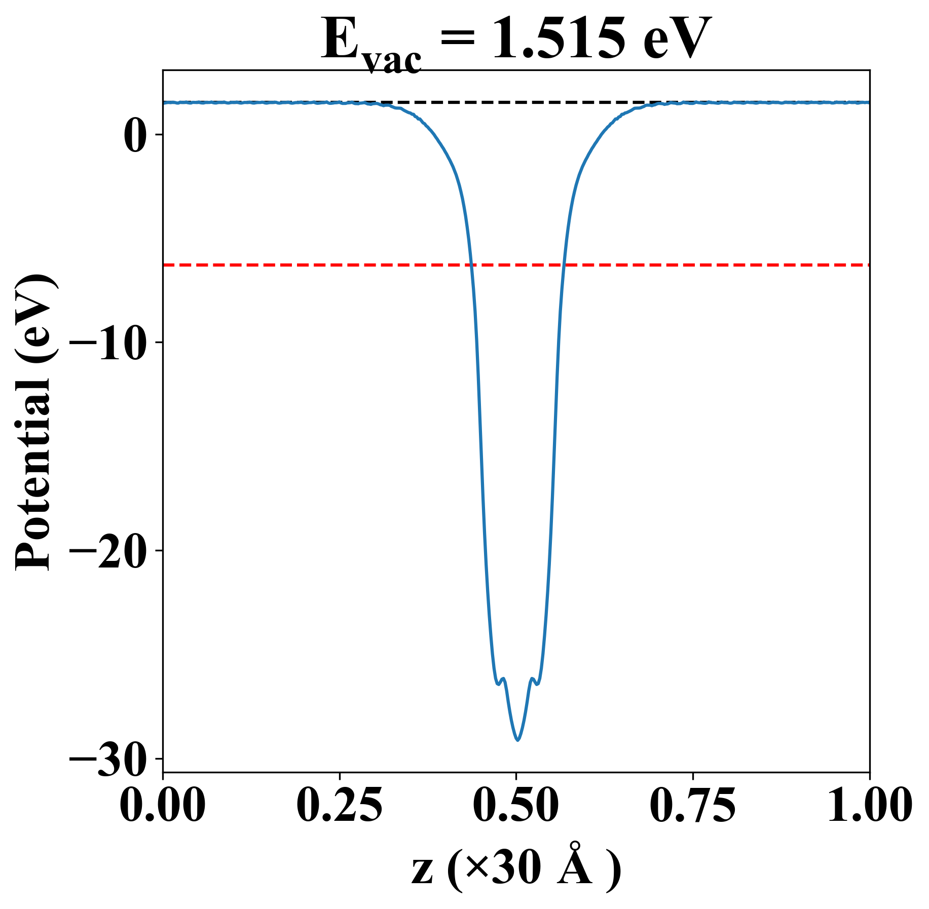
| Vacuum level |
1.515 eV |
| VBM |
-6.540 eV |
| CBM |
-4.551 eV |
| Work function |
7.796 eV |
| Direct gap |
No |
| Property |
Value |
| Band gap |
1.92 eV |
| E-fermi |
-6.327 eV |
| VBM |
-6.594 eV |
| CBM |
-4.670 eV |
| Free energy (eV) |
-28.782 |
| Free energy / atom (eV) |
-9.594 |
| Property |
Value |
| Band gap |
1.99 eV |
| E-fermi |
-6.281 eV |
| Vacuum level |
1.515 eV |
| VBM |
-6.540 eV |
| CBM |
-4.551 eV |
| Work function |
7.796 eV |
| Cij (N/m) |
xx |
yy |
xy |
| xx |
171.315 |
80.115 |
-0.000 |
| yy |
80.115 |
171.315 |
0.000 |
| xy |
-0.000 |
0.000 |
45.600 |
| Phonon mode at Γ point (THz) |
| -5.429 |
| -5.429 |
| -0.002 |
| 0.001 |
| 0.001 |
| 11.003 |
| 11.003 |
| 16.161 |
| 20.663 |
| Property |
Value |
| from where |
c2db-494 |