Hf1O2
MatHub2d-665-Hf1O2
| Property |
Value |
| Space group |
(164, 'P-3m1') |
| Crystal system |
hexagonal |
| Magnetic |
No |
| Band gap (PBE) (eV) |
4.90 |
| Free energy (eV) |
-29.838 |
| Free energy / atom (eV) |
-9.946 |
Lattice Parameters (basic)
| a, b, c (Å): | 3.254 | 3.254 | 30.000 |
| α, β, γ (°): | 90.000 | 90.000 | 120.000 |
Lattice Parameters (computed)
| a, b, c (Å): | 3.239 | 3.239 | 30.000 |
| α, β, γ (°): | 90.000 | 90.000 | 120.000 |
| Property |
Value |
| Band gap |
4.90 eV |
| E-fermi |
-6.246 eV |
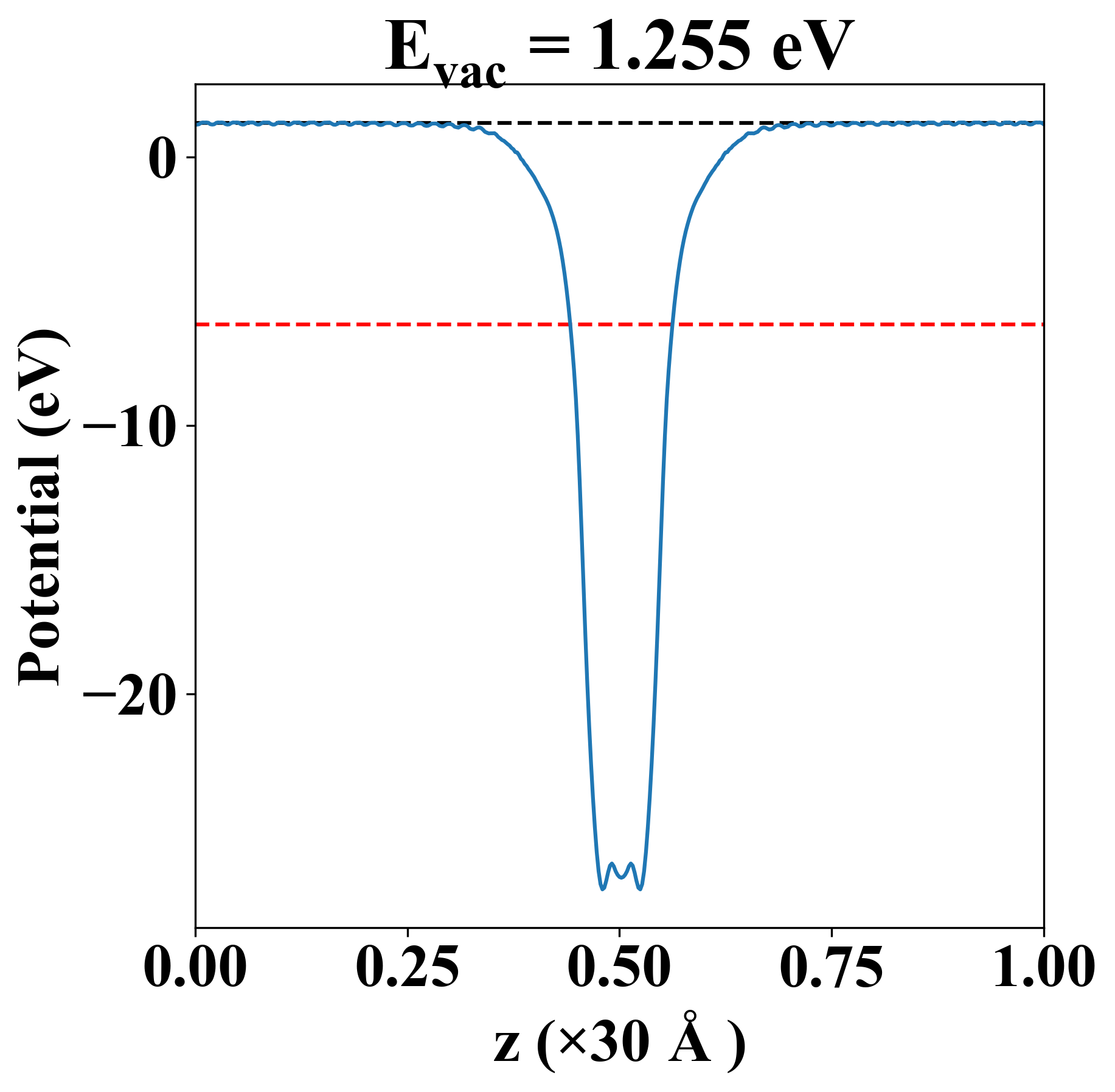
| Vacuum level |
1.255 eV |
| VBM |
-6.540 eV |
| CBM |
-1.636 eV |
| Work function |
7.501 eV |
| Direct gap |
No |
| Property |
Value |
| Band gap |
4.87 eV |
| E-fermi |
-6.245 eV |
| VBM |
-6.550 eV |
| CBM |
-1.683 eV |
| Free energy (eV) |
-30.463 |
| Free energy / atom (eV) |
-10.154 |
| Property |
Value |
| Band gap |
4.90 eV |
| E-fermi |
-6.246 eV |
| Vacuum level |
1.255 eV |
| VBM |
-6.540 eV |
| CBM |
-1.636 eV |
| Work function |
7.501 eV |
| Cij (N/m) |
xx |
yy |
xy |
| xx |
168.866 |
37.262 |
-0.000 |
| yy |
37.262 |
168.866 |
-0.000 |
| xy |
-0.000 |
-0.000 |
65.802 |
| Phonon mode at Γ point (THz) |
| -0.003 |
| -0.003 |
| -0.002 |
| 8.171 |
| 8.171 |
| 15.436 |
| 15.436 |
| 15.701 |
| 16.325 |
| Carrier type |
C2D (N/m) |
Edef (eV) |
μ (cm2V-1s-1) |
| x |
y |
x |
y |
x |
y |
| hole |
166.75 |
166.86 |
5.35 |
4.94 |
-14.27 |
-16.73 |
| electron |
5.31 |
4.41 |
15.63 |
22.66 |
| Property |
Value |
| from where |
c2db-493 |