Hf1I2
MatHub2d-664-Hf1I2
| Property |
Value |
| Space group |
(187, 'P-6m2') |
| Crystal system |
hexagonal |
| Magnetic |
No |
| Band gap (PBE) (eV) |
0.77 |
| Free energy (eV) |
-14.982 |
| Free energy / atom (eV) |
-4.994 |
Lattice Parameters (basic)
| a, b, c (Å): | 3.773 | 3.773 | 30.000 |
| α, β, γ (°): | 90.000 | 90.000 | 120.000 |
Lattice Parameters (computed)
| a, b, c (Å): | 3.761 | 3.761 | 30.000 |
| α, β, γ (°): | 90.000 | 90.000 | 120.000 |
| Property |
Value |
| Band gap |
0.77 eV |
| E-fermi |
-0.499 eV |
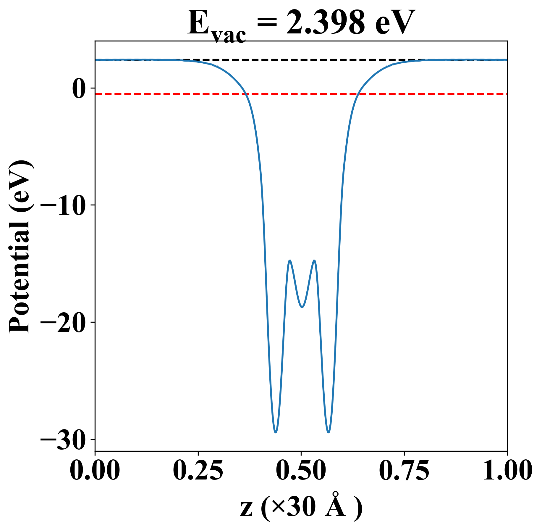
| Vacuum level |
2.398 eV |
| VBM |
-0.780 eV |
| CBM |
-0.007 eV |
| Work function |
2.897 eV |
| Direct gap |
No |
| Property |
Value |
| Band gap |
0.62 eV |
| E-fermi |
-0.368 eV |
| VBM |
-0.666 eV |
| CBM |
-0.047 eV |
| Free energy (eV) |
-15.919 |
| Free energy / atom (eV) |
-5.306 |
| Property |
Value |
| Band gap |
0.77 eV |
| E-fermi |
-0.499 eV |
| Vacuum level |
2.398 eV |
| VBM |
-0.780 eV |
| CBM |
-0.007 eV |
| Work function |
2.897 eV |
| Cij (N/m) |
xx |
yy |
xy |
| xx |
67.304 |
10.439 |
-0.000 |
| yy |
10.439 |
67.304 |
0.000 |
| xy |
-0.000 |
0.000 |
28.432 |
| Phonon mode at Γ point (THz) |
| -0.000 |
| 0.001 |
| 0.001 |
| 2.758 |
| 2.758 |
| 3.672 |
| 4.360 |
| 4.360 |
| 5.527 |
| Property |
Value |
| from where |
c2db-1003 |