Hf1I2
MatHub2d-663-Hf1I2
| Property |
Value |
| Space group |
(164, 'P-3m1') |
| Crystal system |
hexagonal |
| Magnetic |
No |
| Band gap (PBE) (eV) |
0.02 |
| Free energy (eV) |
-14.600 |
| Free energy / atom (eV) |
-4.867 |
Lattice Parameters (basic)
| a, b, c (Å): | 3.723 | 3.723 | 30.000 |
| α, β, γ (°): | 90.000 | 90.000 | 120.000 |
Lattice Parameters (computed)
| a, b, c (Å): | 3.714 | 3.714 | 30.000 |
| α, β, γ (°): | 90.000 | 90.000 | 120.000 |
| Property |
Value |
| Band gap |
0.02 eV |
| E-fermi |
-0.682 eV |
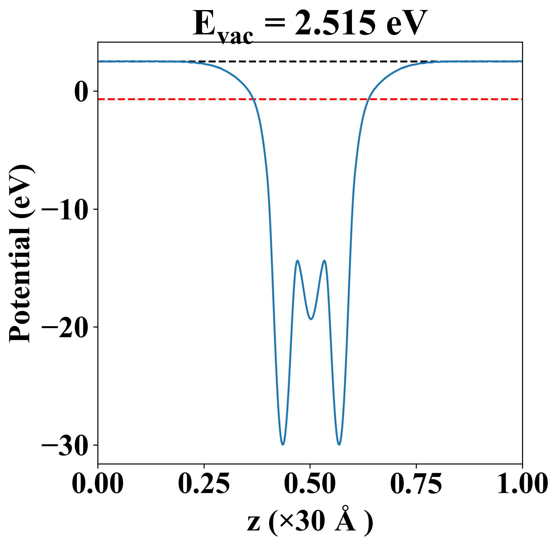
| Vacuum level |
2.515 eV |
| VBM |
-0.695 eV |
| CBM |
-0.679 eV |
| Work function |
3.197 eV |
| Direct gap |
No |
| Property |
Value |
| Band gap |
0.02 eV |
| E-fermi |
-0.682 eV |
| Vacuum level |
2.515 eV |
| VBM |
-0.695 eV |
| CBM |
-0.679 eV |
| Work function |
3.197 eV |
| Cij (N/m) |
xx |
yy |
xy |
| xx |
62.919 |
9.342 |
0.000 |
| yy |
9.342 |
62.919 |
0.000 |
| xy |
0.000 |
0.000 |
26.789 |
| Phonon mode at Γ point (THz) |
| -0.001 |
| 0.001 |
| 0.001 |
| 2.633 |
| 2.633 |
| 3.484 |
| 3.893 |
| 3.893 |
| 5.226 |
| Property |
Value |
| from where |
c2db-883 |