H2Sn2
MatHub2d-662-H2Sn2
| Property |
Value |
| Space group |
(164, 'P-3m1') |
| Crystal system |
hexagonal |
| Magnetic |
No |
| Band gap (PBE) (eV) |
0.55 |
| Free energy (eV) |
-13.688 |
| Free energy / atom (eV) |
-3.422 |
Lattice Parameters (basic)
| a, b, c (Å): | 4.706 | 4.706 | 30.000 |
| α, β, γ (°): | 90.000 | 90.000 | 120.000 |
Lattice Parameters (computed)
| a, b, c (Å): | 4.677 | 4.677 | 30.000 |
| α, β, γ (°): | 90.000 | 90.000 | 120.000 |
| Property |
Value |
| Band gap |
0.55 eV |
| E-fermi |
-3.538 eV |
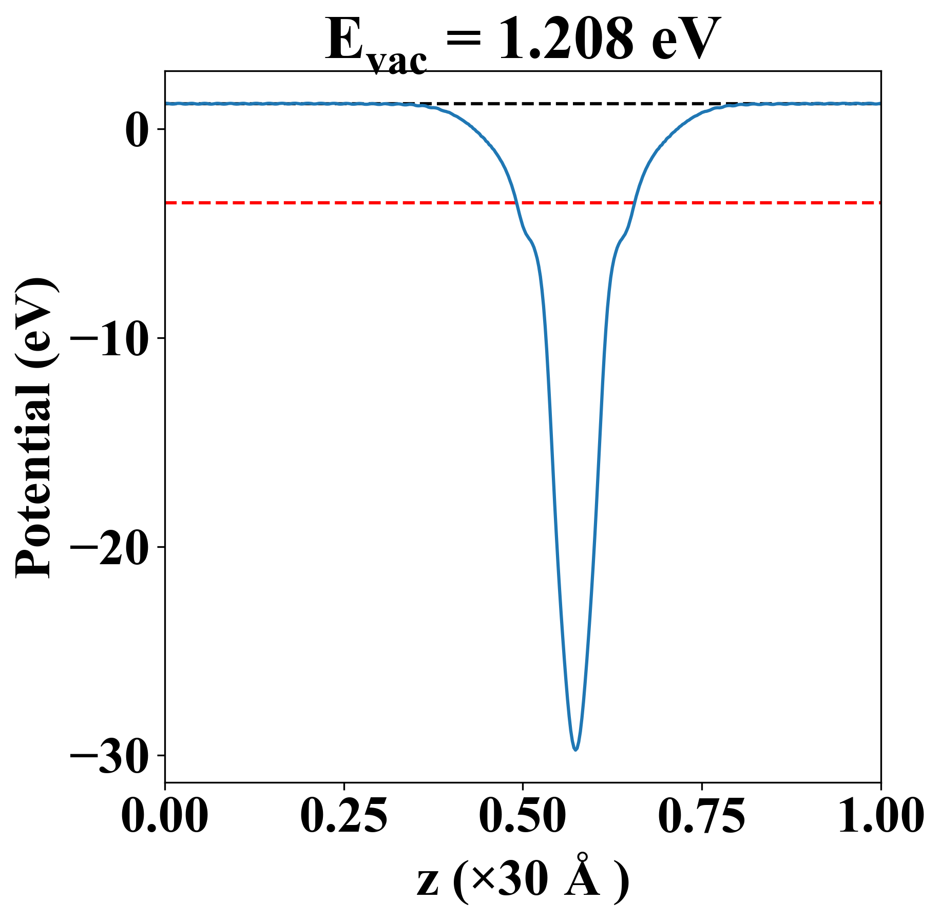
| Vacuum level |
1.208 eV |
| VBM |
-3.750 eV |
| CBM |
-3.200 eV |
| Work function |
4.746 eV |
| Direct gap |
Yes |
| Property |
Value |
| Band gap |
0.34 eV |
| E-fermi |
-3.369 eV |
| VBM |
-3.540 eV |
| CBM |
-3.198 eV |
| Free energy (eV) |
-13.797 |
| Free energy / atom (eV) |
-3.449 |
| Property |
Value |
| Band gap |
0.55 eV |
| E-fermi |
-3.538 eV |
| Vacuum level |
1.208 eV |
| VBM |
-3.750 eV |
| CBM |
-3.200 eV |
| Work function |
4.746 eV |
| Cij (N/m) |
xx |
yy |
xy |
| xx |
30.074 |
9.023 |
-0.000 |
| yy |
9.023 |
30.074 |
0.000 |
| xy |
-0.000 |
0.000 |
10.526 |
| Phonon mode at Γ point (THz) |
| -0.050 |
| -0.050 |
| -0.008 |
| 4.101 |
| 5.782 |
| 5.782 |
| 9.762 |
| 9.762 |
| 15.600 |
| 15.600 |
| 55.180 |
| 55.861 |
| Property |
Value |
| from where |
c2db-1970 |