H2Si6
MatHub2d-661-H2Si6
| Property |
Value |
| Space group |
(164, 'P-3m1') |
| Crystal system |
hexagonal |
| Magnetic |
No |
| Band gap (PBE) (eV) |
0.90 |
| Free energy (eV) |
-39.098 |
| Free energy / atom (eV) |
-4.887 |
Lattice Parameters (basic)
| a, b, c (Å): | 3.873 | 3.873 | 30.000 |
| α, β, γ (°): | 90.000 | 90.000 | 120.000 |
Lattice Parameters (computed)
| a, b, c (Å): | 3.860 | 3.860 | 30.000 |
| α, β, γ (°): | 90.000 | 90.000 | 120.000 |
| Property |
Value |
| Band gap |
0.90 eV |
| E-fermi |
-1.096 eV |
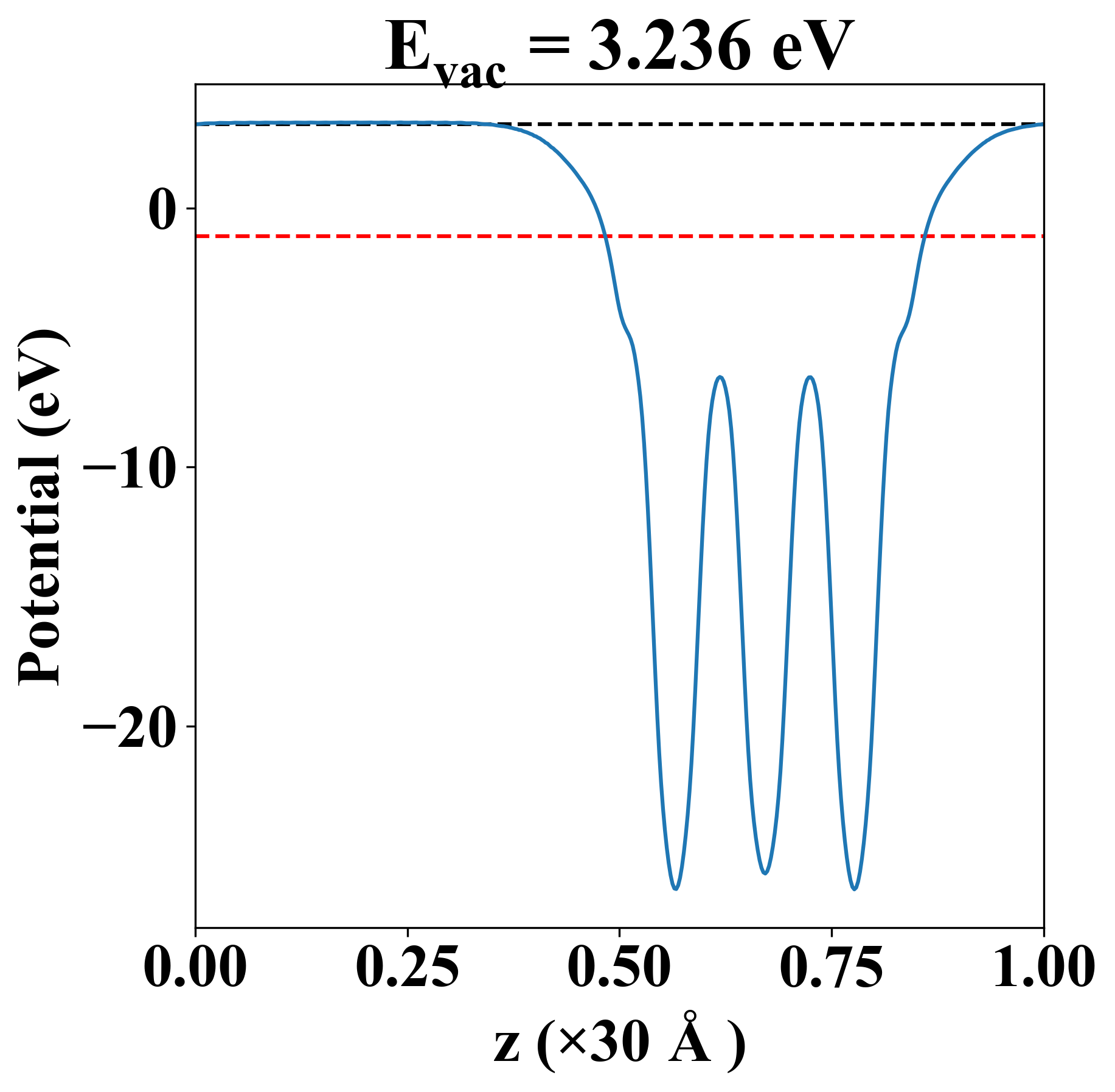
| Vacuum level |
3.236 eV |
| VBM |
-1.318 eV |
| CBM |
-0.420 eV |
| Work function |
4.332 eV |
| Direct gap |
No |
| Property |
Value |
| Band gap |
0.88 eV |
| E-fermi |
-1.041 eV |
| VBM |
-1.311 eV |
| CBM |
-0.427 eV |
| Free energy (eV) |
-39.098 |
| Free energy / atom (eV) |
-4.887 |
| Property |
Value |
| Band gap |
0.90 eV |
| E-fermi |
-1.096 eV |
| Vacuum level |
3.236 eV |
| VBM |
-1.318 eV |
| CBM |
-0.420 eV |
| Work function |
4.332 eV |
| Cij (N/m) |
xx |
yy |
xy |
| xx |
170.678 |
41.669 |
-0.000 |
| yy |
41.669 |
170.678 |
0.000 |
| xy |
-0.000 |
0.000 |
64.505 |
| Phonon mode at Γ point (THz) |
| -0.002 |
| -0.002 |
| -0.001 |
| 2.114 |
| 2.114 |
| 2.993 |
| 2.993 |
| 4.853 |
| 8.918 |
| 11.281 |
| 13.698 |
| 14.410 |
| 14.410 |
| 14.464 |
| 14.464 |
| 14.550 |
| 14.550 |
| 14.769 |
| 18.124 |
| 18.124 |
| 18.256 |
| 18.256 |
| 63.187 |
| 63.223 |
| Property |
Value |
| from where |
JVASP-14451 |