H2Si2
MatHub2d-660-H2Si2
| Property |
Value |
| Space group |
(164, 'P-3m1') |
| Crystal system |
hexagonal |
| Magnetic |
No |
| Band gap (PBE) (eV) |
2.18 |
| Free energy (eV) |
-17.490 |
| Free energy / atom (eV) |
-4.372 |
Lattice Parameters (basic)
| a, b, c (Å): | 3.896 | 3.896 | 30.000 |
| α, β, γ (°): | 90.000 | 90.000 | 120.000 |
Lattice Parameters (computed)
| a, b, c (Å): | 3.888 | 3.888 | 30.000 |
| α, β, γ (°): | 90.000 | 90.000 | 120.000 |
| Property |
Value |
| Band gap |
2.18 eV |
| E-fermi |
-3.765 eV |
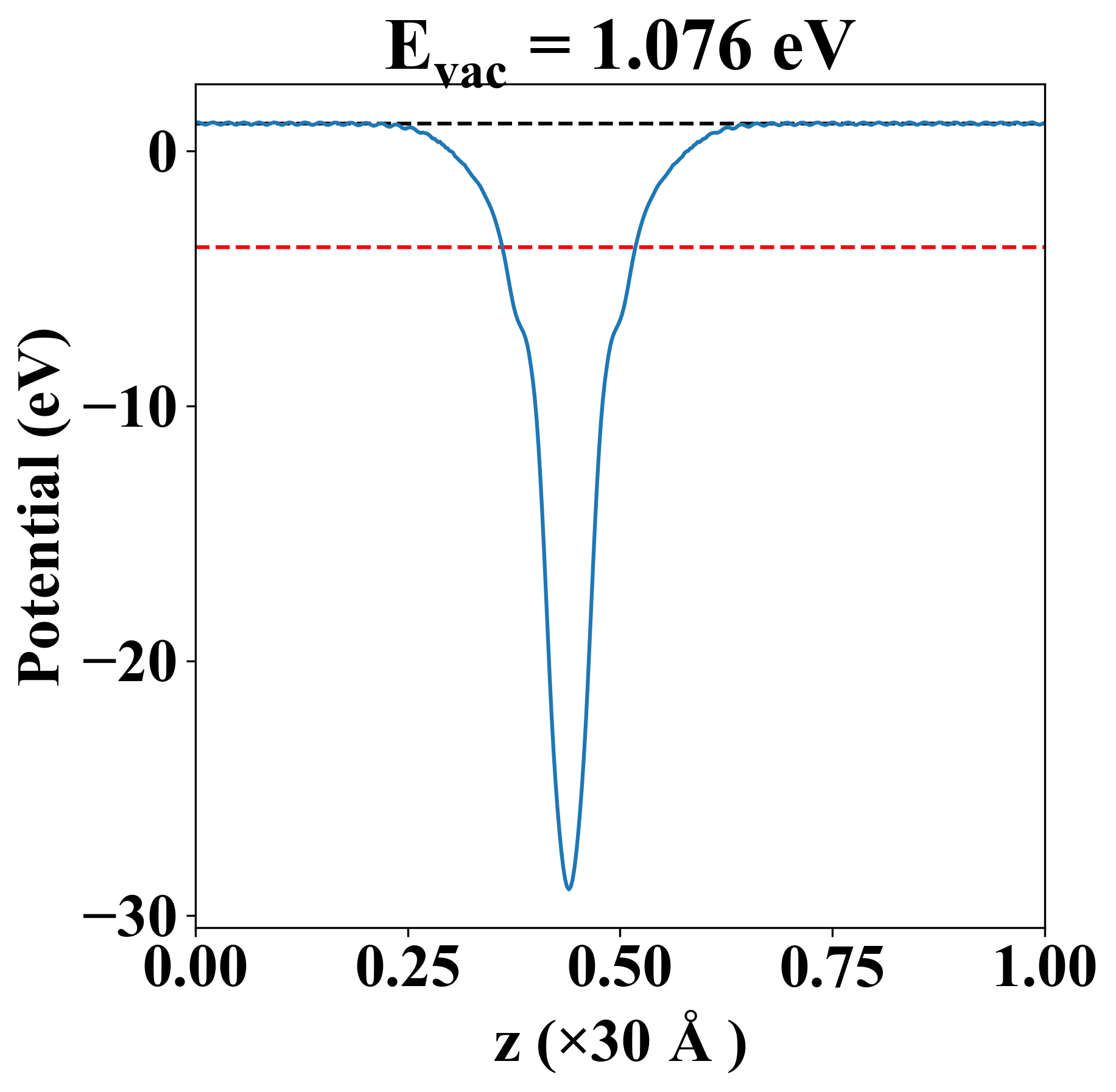
| Vacuum level |
1.076 eV |
| VBM |
-4.026 eV |
| CBM |
-1.846 eV |
| Work function |
4.841 eV |
| Direct gap |
No |
| Property |
Value |
| Band gap |
2.17 eV |
| E-fermi |
-3.799 eV |
| VBM |
-4.030 eV |
| CBM |
-1.859 eV |
| Free energy (eV) |
-17.490 |
| Free energy / atom (eV) |
-4.373 |
| Property |
Value |
| Band gap |
2.18 eV |
| E-fermi |
-3.765 eV |
| Vacuum level |
1.076 eV |
| VBM |
-4.026 eV |
| CBM |
-1.846 eV |
| Work function |
4.841 eV |
| Cij (N/m) |
xx |
yy |
xy |
| xx |
57.341 |
13.792 |
-0.000 |
| yy |
13.792 |
57.341 |
-0.000 |
| xy |
-0.000 |
-0.000 |
21.775 |
| Phonon mode at Γ point (THz) |
| -0.005 |
| -0.005 |
| 0.001 |
| 11.498 |
| 14.582 |
| 14.582 |
| 15.342 |
| 15.342 |
| 21.677 |
| 21.677 |
| 63.410 |
| 63.862 |
| Property |
Value |
| from where |
JVASP-6808 |