H2O6P2Zr1
MatHub2d-659-H2O6P2Zr1
| Property |
Value |
| Space group |
(164, 'P-3m1') |
| Crystal system |
hexagonal |
| Magnetic |
No |
| Band gap (PBE) (eV) |
4.27 |
| Free energy (eV) |
-79.546 |
| Free energy / atom (eV) |
-7.231 |
Lattice Parameters (basic)
| a, b, c (Å): | 5.483 | 5.483 | 30.000 |
| α, β, γ (°): | 90.000 | 90.000 | 120.000 |
Lattice Parameters (computed)
| a, b, c (Å): | 5.489 | 5.489 | 30.000 |
| α, β, γ (°): | 90.000 | 90.000 | 120.000 |
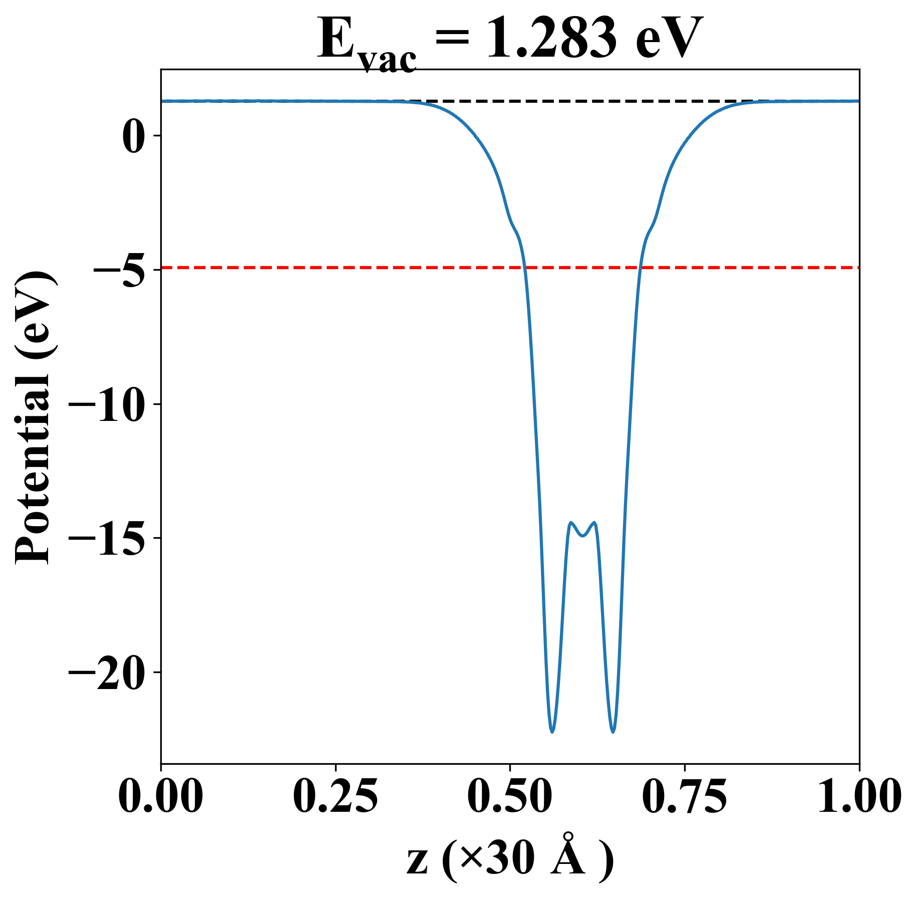
| Property |
Value |
| Band gap |
4.27 eV |
| E-fermi |
-4.927 eV |
| Vacuum level |
1.283 eV |
| VBM |
-5.194 eV |
| CBM |
-0.920 eV |
| Work function |
6.210 eV |
| Direct gap |
Yes |
| Property |
Value |
| Band gap |
4.27 eV |
| E-fermi |
-4.924 eV |
| VBM |
-5.196 eV |
| CBM |
-0.928 eV |
| Free energy (eV) |
-79.613 |
| Free energy / atom (eV) |
-7.238 |
| Property |
Value |
| Band gap |
4.27 eV |
| E-fermi |
-4.927 eV |
| Vacuum level |
1.283 eV |
| VBM |
-5.194 eV |
| CBM |
-0.920 eV |
| Work function |
6.210 eV |
| Cij (N/m) |
xx |
yy |
xy |
| xx |
81.325 |
27.830 |
-0.000 |
| yy |
27.830 |
81.325 |
-0.000 |
| xy |
-0.000 |
-0.000 |
26.747 |
| Phonon mode at Γ point (THz) |
| -0.016 |
| -0.015 |
| -0.015 |
| 0.512 |
| 1.377 |
| 1.377 |
| 4.289 |
| 5.806 |
| 5.806 |
| 7.829 |
| 8.140 |
| 8.140 |
| 8.256 |
| 8.256 |
| 10.890 |
| 13.152 |
| 13.152 |
| 13.462 |
| 13.462 |
| 15.972 |
| 16.315 |
| 29.096 |
| 29.096 |
| 29.124 |
| 29.124 |
| 30.603 |
| 30.603 |
| 30.780 |
| 30.780 |
| 31.865 |
| 32.548 |
| 73.346 |
| 73.368 |
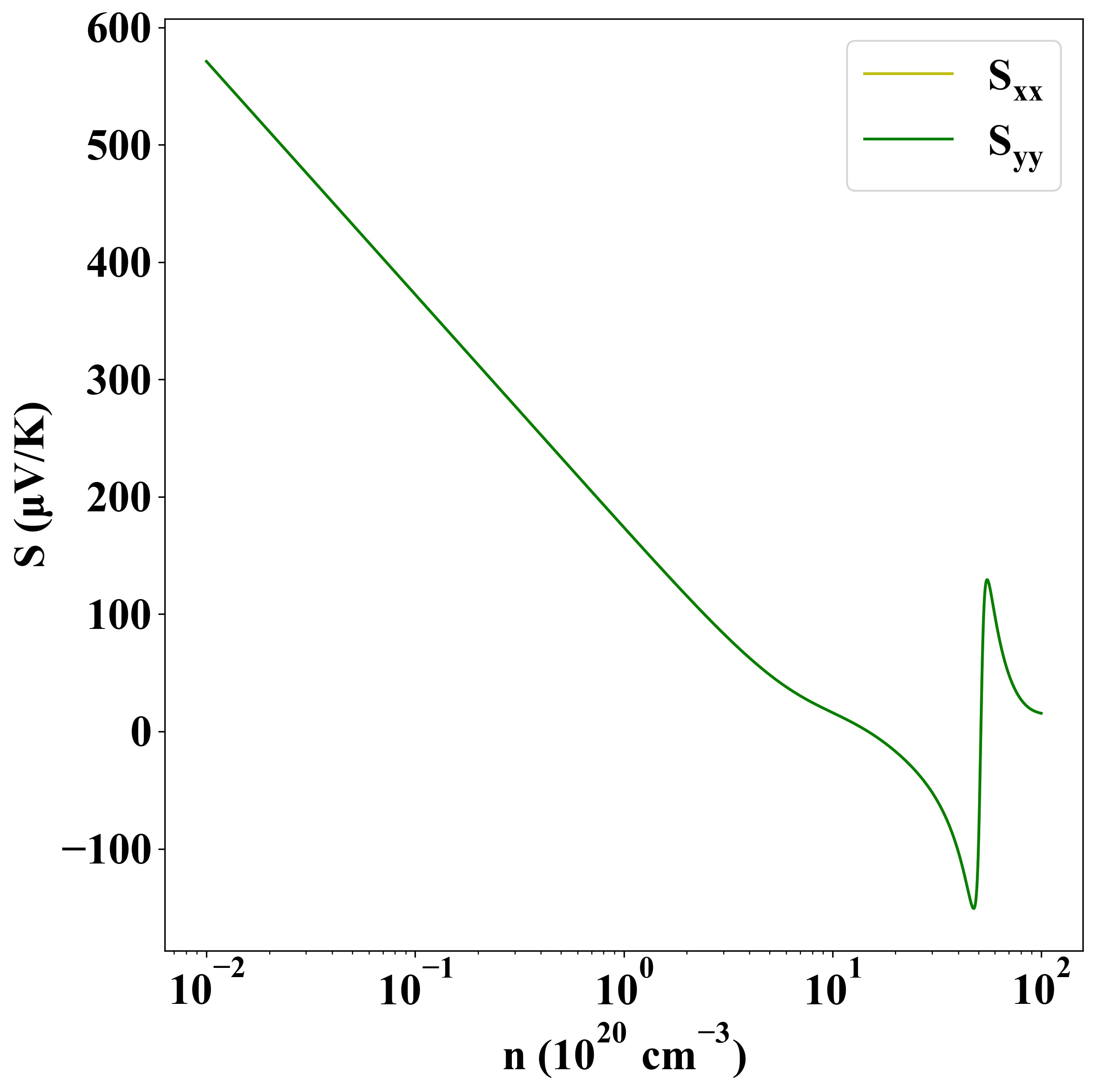
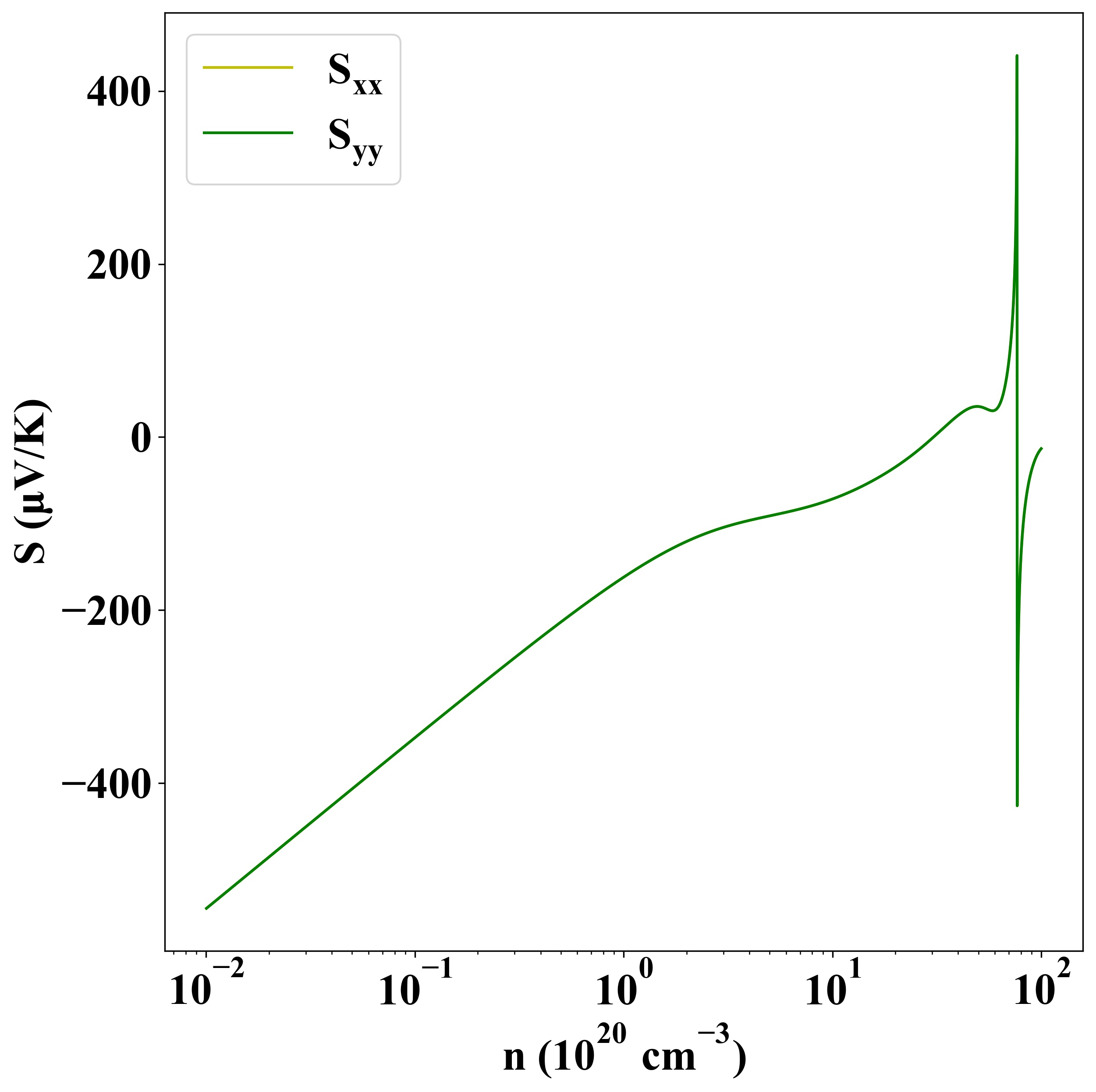
| Carrier type |
C2D (N/m) |
Edef (eV) |
μ (cm2V-1s-1) |
| x |
y |
x |
y |
x |
y |
| hole |
81.95 |
81.96 |
-1.83 |
-1.61 |
-149.61 |
-193.25 |
| electron |
-6.49 |
-6.37 |
18.93 |
19.66 |
| Property |
Value |
| from where |
JVASP-27899 |