H2Ni1O2
MatHub2d-658-H2Ni1O2
| Property |
Value |
| Space group |
(164, 'P-3m1') |
| Crystal system |
hexagonal |
| Magnetic |
Yes |
| Band gap (PBE) (eV) |
2.24 |
| Free energy (eV) |
-24.954 |
| Free energy / atom (eV) |
-4.991 |
Lattice Parameters (basic)
| a, b, c (Å): | 3.125 | 3.125 | 30.000 |
| α, β, γ (°): | 90.000 | 90.000 | 120.000 |
Lattice Parameters (computed)
| a, b, c (Å): | 3.133 | 3.133 | 30.000 |
| α, β, γ (°): | 90.000 | 90.000 | 120.000 |
| Property |
Value |
| Band gap |
2.24 eV |
| E-fermi |
-2.444 eV |
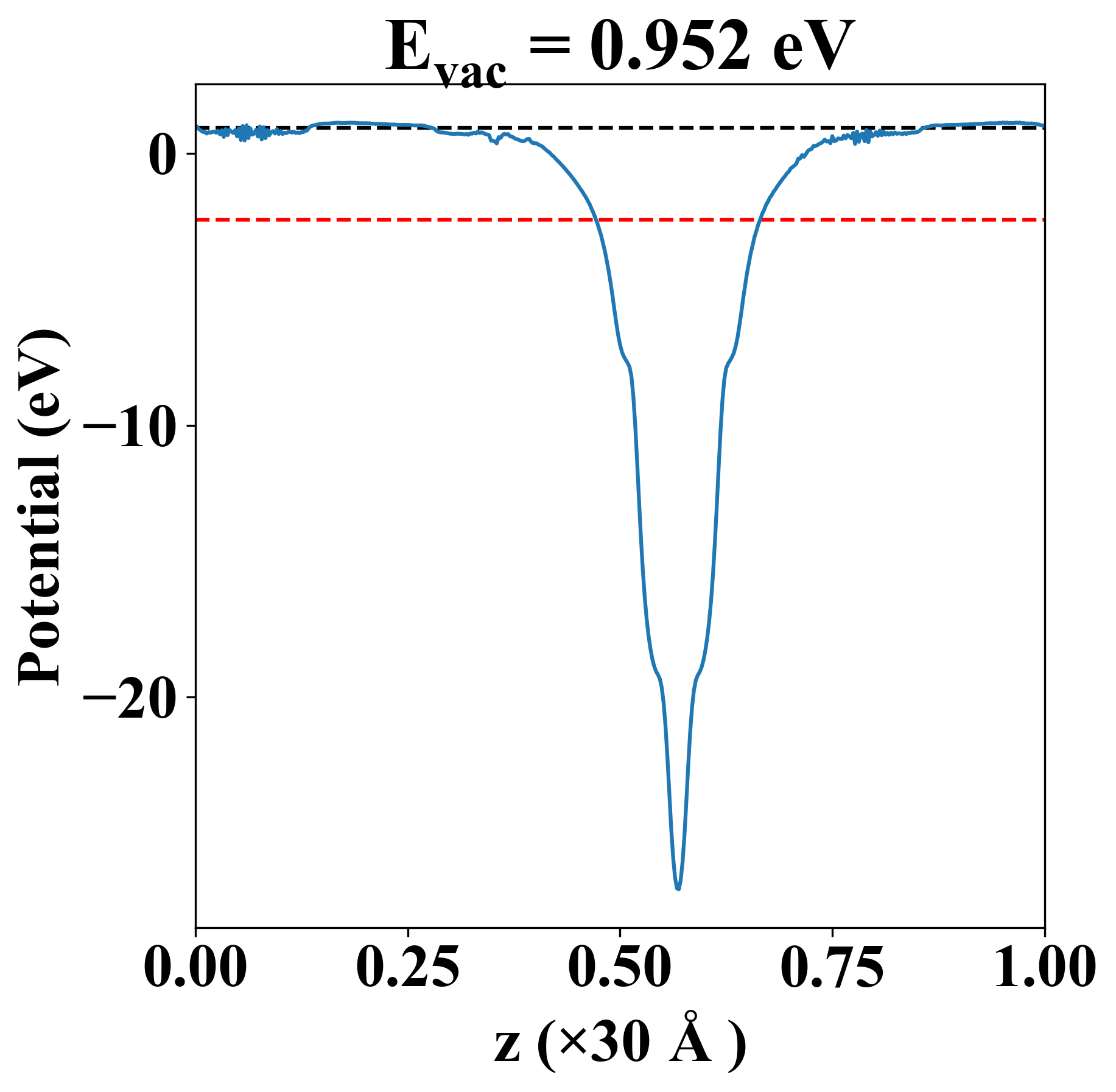
| Vacuum level |
0.952 eV |
| VBM |
-2.667 eV |
| CBM |
-0.427 eV |
| Work function |
3.396 eV |
| Direct gap |
Yes |
| Property |
Value |
| Band gap |
2.20 eV |
| E-fermi |
-2.373 eV |
| VBM |
-2.671 eV |
| CBM |
-0.472 eV |
| Free energy (eV) |
-24.966 |
| Free energy / atom (eV) |
-4.993 |
| Property |
Value |
| Band gap |
2.24 eV |
| E-fermi |
-2.444 eV |
| Vacuum level |
0.952 eV |
| VBM |
-2.667 eV |
| CBM |
-0.427 eV |
| Work function |
3.396 eV |
| Cij (N/m) |
xx |
yy |
xy |
| xx |
44.017 |
40.686 |
-0.000 |
| yy |
40.686 |
44.017 |
0.000 |
| xy |
-0.000 |
0.000 |
1.665 |
| Phonon mode at Γ point (THz) |
| -0.026 |
| -0.026 |
| -0.017 |
| 5.050 |
| 5.050 |
| 8.684 |
| 8.684 |
| 11.065 |
| 11.532 |
| 12.023 |
| 12.023 |
| 14.253 |
| 14.253 |
| 111.878 |
| 112.294 |
| Property |
Value |
| from where |
JVASP-27754 |